М
Молодежь
К
Компьютеры-и-электроника
Д
Дом-и-сад
С
Стиль-и-уход-за-собой
П
Праздники-и-традиции
Т
Транспорт
П
Путешествия
С
Семейная-жизнь
Ф
Философия-и-религия
Б
Без категории
М
Мир-работы
Х
Хобби-и-рукоделие
И
Искусство-и-развлечения
В
Взаимоотношения
З
Здоровье
К
Кулинария-и-гостеприимство
Ф
Финансы-и-бизнес
П
Питомцы-и-животные
О
Образование
О
Образование-и-коммуникации
evbarseguan
evbarseguan
23.07.2022 04:31 •  Геометрия

Впараллелограмме авсд острый угол при вершине а равен 30, сторона сд касается окружности, описанной около треугольника авд. определите радиус окружности, если площадь параллелограмма равна

👇
Ответ:
dree123
dree123
23.07.2022
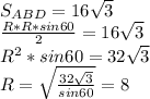
BD - диагональ параллелограмма , тогда делит параллелограмм на два равных треугольника , следовательно  площадь  треугольника S_{ABD}=16\sqrt{3} .
По условию DC касательная  к окружности , тогда DCOD , следовательно радиус  OD делит сторону треугольника AB пополам .
BOD=60а\\
BD^2=2R^2-2R^2*cos60а\\
BD^2=R^2\\
BD=R
Так как  радиус делит сторону АВ пополам, то это возможна только в равнобедренном треугольнике, значит  угол ABD=30\\
ADB=120
S_{ABD} = 16\sqrt{3}\\
\frac{R*R*sin60}{2}=16\sqrt{3}\\
R^2*sin60=32\sqrt{3}\\
 R=\sqrt{\frac{32\sqrt{3}}{sin60} } =8 
4,8(16 оценок)
Открыть все ответы
Ответ:
ivanBashak1
ivanBashak1
23.07.2022

Высота делит основание на две равные половины. 

Сумма одной боковой стороны и половины основания равна АВ+½ АС

38:2=19 см

Периметр треугольника  BDC=АВ+½ АС+BD

19+8=27 см

Самое правильное решение то, что является самым простым. Но возможно, учитель требует решение с  применением теоремы Пифагора, 


Высота делит основание треугольника на две равных части. 
Сумма боковой стороны и половины основания равна
38:2=19
Обозначим половину основания х
Длина боковой стороны равна 19-х
Боковая сторона, высота и половина основания образовали прямоугольный треугольник.
По теореме Пифагора составим уравнение:
(19-х)²=8²+х²
361-38х+х²=64+х²
38х=297

х=7³¹/₃₈ см
Длина боковой стороны равна
19-7³¹/₃₈=11 ⁷/₃₈ см
х=7³¹/₃₈ см Периметр треугольника ВСD=7 ³¹/₃₈+8+11 ⁷/₃₈=19+8=27 см


4,5(22 оценок)
Ответ:
nmigutsa
nmigutsa
23.07.2022

Высота делит основание на две равные половины. 

Сумма одной боковой стороны и половины основания равна АВ+½ АС

38:2=19 см

Периметр треугольника  BDC=АВ+½ АС+BD

19+8=27 см

Самое правильное решение то, что является самым простым. Но возможно, учитель требует решение с  применением теоремы Пифагора, 


Высота делит основание треугольника на две равных части. 
Сумма боковой стороны и половины основания равна
38:2=19
Обозначим половину основания х
Длина боковой стороны равна 19-х
Боковая сторона, высота и половина основания образовали прямоугольный треугольник.
По теореме Пифагора составим уравнение:
(19-х)²=8²+х²
361-38х+х²=64+х²
38х=297

х=7³¹/₃₈ см
Длина боковой стороны равна
19-7³¹/₃₈=11 ⁷/₃₈ см
х=7³¹/₃₈ см Периметр треугольника ВСD=7 ³¹/₃₈+8+11 ⁷/₃₈=19+8=27 см


4,5(87 оценок)
Это интересно:
Новые ответы от MOGZ: Геометрия
logo
Вход Регистрация
Что ты хочешь узнать?
Спроси Mozg
Открыть лучший ответ