М
Молодежь
К
Компьютеры-и-электроника
Д
Дом-и-сад
С
Стиль-и-уход-за-собой
П
Праздники-и-традиции
Т
Транспорт
П
Путешествия
С
Семейная-жизнь
Ф
Философия-и-религия
Б
Без категории
М
Мир-работы
Х
Хобби-и-рукоделие
И
Искусство-и-развлечения
В
Взаимоотношения
З
Здоровье
К
Кулинария-и-гостеприимство
Ф
Финансы-и-бизнес
П
Питомцы-и-животные
О
Образование
О
Образование-и-коммуникации
kirillfox99ozbdp8
kirillfox99ozbdp8
03.10.2021 01:07 •  Геометрия

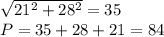
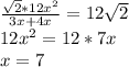
Биссектриса прямого угла прямоугольного треугольника равна 12√2 см и делит гипотенузу на отрезки в отношении 3: 4. найдите периметр этого треугольника.

👇
Ответ:
Курьяма1
Курьяма1
03.10.2021
По свойству  биссектрисы катеты относятся так же то есть    :
\frac{AC}{BC}=\frac{3}{4}\\

по формуле биссектриса сама равна 
\frac{\sqrt{2}*12x^2}{3x+4x}=12\sqrt{2}\\
12x^2=12*7x\\
x=7\\

катеты равны 21 и 28 , гипотенуза    равна \sqrt{21^2+28^2}=35\\
P=35+28+21=84
4,8(59 оценок)
Открыть все ответы
Ответ:
ЛенаС123
ЛенаС123
03.10.2021

1) Высота образует прямоугольный треугольник. Так как треугольник равнобедренный и угол противолежащий основанию равен 120 градусов следовательно боковые углы буду равны по 30 градусов. Так как высота является катетом прямоугольного треугольника и лежит против угла в 30 градусов следовательно она равна одной второй гепотенузы , а гепотенузой является боковая сторона равнобедренного треугольника следовательно она равна 12х2=24см.

2)Рассмотрим треугольник СОА: в нем угол А= 60 градусов по уловию и угол СОА равен 90 градусов так как СО это перпендикуляр, следовательно угол АСО равен 30 градусов и следовательно АО равно одной второй АС и следовательно АС равно 5.4 дм или 54 см. Рассмотрим треугольник АВС: в нем угол А равен 60 градусов по условию, угол С равен 90 градусов так как треугольник прямоугольный , следовательно угол В равен 30 градусов и следовательно отрезок ОВ равен 2АС - АО и равен 8.1 дм или 81 см.

3)Так как боковая сторона в три раза больше основания следовательно она равна 3 х 2 = 6 см. Так как треугольник равнобедренный найдем периметр, он будет равен 6 + 6 + 2 = 14 см.

5)Третий угол треугольника равен 180 - ( 47+31 ) = 102 градуса.

4)По теореме внешний угол равен сумме внутренних углов треугольника не смежных ему найдем второй угол. Он равен 99 - 40 = 59 градусов. Третий угол же равен 180 - ( 40 + 59 ) = 81 градус.

 

4,6(8 оценок)
Ответ:
Dasěuke345
Dasěuke345
03.10.2021

Задача 1.

Пусть ВС=CD=х, тогда АВ=3+х. Составим и решим уравнение:

3+х+х+х=9

3х=6

х=2.

Получается, ВС=CD=2 см.

ответ: 2 см.

Задача 2.

∠1=∠3=20 градусов (т.к. соответственные);

∠1=∠4= 20 градусов (т.к. вертикальные);

∠4=90 градусов (по условию)

∠5=180-20=160 градусов.

∠2=160-90=70 градусов.

ответ: 70 градусов.

Задача 3.

Если дочертить отрезки АР, ВР, АО и ВО, можно заметить, что образовался четырехугольник. АВ и РО -его диагонали. Т.к. они точкой пересечения поделились пополам, то данная фигура - ромб. У ромба все стороны равны => АР+ВР=АО+ВО.

4,4(87 оценок)
Это интересно:
Новые ответы от MOGZ: Геометрия
logo
Вход Регистрация
Что ты хочешь узнать?
Спроси Mozg
Открыть лучший ответ