М
Молодежь
К
Компьютеры-и-электроника
Д
Дом-и-сад
С
Стиль-и-уход-за-собой
П
Праздники-и-традиции
Т
Транспорт
П
Путешествия
С
Семейная-жизнь
Ф
Философия-и-религия
Б
Без категории
М
Мир-работы
Х
Хобби-и-рукоделие
И
Искусство-и-развлечения
В
Взаимоотношения
З
Здоровье
К
Кулинария-и-гостеприимство
Ф
Финансы-и-бизнес
П
Питомцы-и-животные
О
Образование
О
Образование-и-коммуникации
svetakovalenko4
svetakovalenko4
03.10.2021 01:07 •  Геометрия

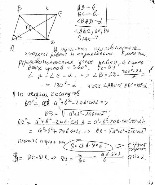
Смежные стороны параллелограмма равны а и b, а один из его углов равен α. .найдите только угол между ними все остальное я нашел

👇
Ответ:
Stasburlakov
Stasburlakov
03.10.2021
Чего мелочиться? Найдем все.

Смежные стороны параллелограмма равны а и b, а один из его углов равен α. .найдите только угол между
4,6(62 оценок)
Открыть все ответы
Ответ:
KolbasaBatonSir
KolbasaBatonSir
03.10.2021
Начертим треугольник ABC.C=90°.По условию острый угол равен 45°-> второй угол будет тоже 45°.Следовательно AC=CB.. Рассмотрим треугольник ACH.угол А=45°,угол AHC=90(высота же),уголс ACH=45°. Из чего следует,что CH=AH=9,тоже самое проделываем с треугольником CHB.AH=HB=9=>AB=18. Найдём катеты,которые равны,т.е. АВ^2=AC^2+CB^2,пусть AC=x=CB,=> AB^2=2х^2.18^2=2х^2.324=2x^2,x=корень из 162,S(прямоугольное.треугольника)=1/2произведений катетов=>S=1/2AC*CB=(корень из 162*корень из 162)/2=162/2=81
4,4(54 оценок)
Ответ:
FTA72артем
FTA72артем
03.10.2021
Начертим треугольник ABC.C=90°.По условию острый угол равен 45°-> второй угол будет тоже 45°.Следовательно AC=CB.. Рассмотрим треугольник ACH.угол А=45°,угол AHC=90(высота же),уголс ACH=45°. Из чего следует,что CH=AH=9,тоже самое проделываем с треугольником CHB.AH=HB=9=>AB=18. Найдём катеты,которые равны,т.е. АВ^2=AC^2+CB^2,пусть AC=x=CB,=> AB^2=2х^2.18^2=2х^2.324=2x^2,x=корень из 162,S(прямоугольное.треугольника)=1/2произведений катетов=>S=1/2AC*CB=(корень из 162*корень из 162)/2=162/2=81
4,6(78 оценок)
Это интересно:
Новые ответы от MOGZ: Геометрия
logo
Вход Регистрация
Что ты хочешь узнать?
Спроси Mozg
Открыть лучший ответ