М
Молодежь
К
Компьютеры-и-электроника
Д
Дом-и-сад
С
Стиль-и-уход-за-собой
П
Праздники-и-традиции
Т
Транспорт
П
Путешествия
С
Семейная-жизнь
Ф
Философия-и-религия
Б
Без категории
М
Мир-работы
Х
Хобби-и-рукоделие
И
Искусство-и-развлечения
В
Взаимоотношения
З
Здоровье
К
Кулинария-и-гостеприимство
Ф
Финансы-и-бизнес
П
Питомцы-и-животные
О
Образование
О
Образование-и-коммуникации
reyuatnrf
reyuatnrf
20.11.2022 17:10 •  Геометрия

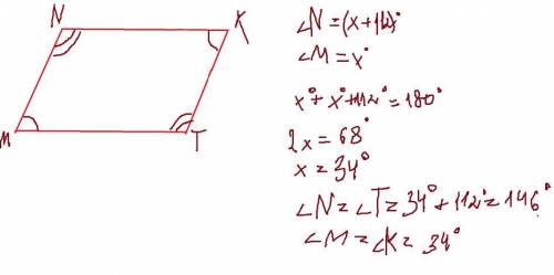
Чему равны углы параллелограмма MNKT если уголN-уголM=112

👇
Ответ:
Liova23
Liova23
20.11.2022

Фото

Объяснение:


Чему равны углы параллелограмма MNKT если уголN-уголM=112
4,7(10 оценок)
Открыть все ответы
Ответ:
PrOFy100
PrOFy100
20.11.2022
Прямоугольный треугольник- не проходите мимо! Самый интересный и самый удивительный! У него три великолепных угла, из которых один ровно 90 градусов! А два других острых угла - тоже в сумме дают 90 градусов и это очень впечатляет! Попробуйте использовать для прямоугольного треугольника теорему Пифагора и вы будете очарованы, она великолепно исполняется на нем! Прямоугольный треугольник имеет великолепную гипотенузу и два прелестных катета! Каждый может его изобразить на листе бумаги и оценить его характеристики по достоинству! Не проходите мимо! Получите удовольствие от свойств и характеристик этой красивой и привлекательной фигуры!
4,7(62 оценок)
Ответ:
Черпачок
Черпачок
20.11.2022
Из треугольника AMN  можно вычислить, что угол А= 30 (180-60-90=30), тогда катет, который лежит напротив угла 30 град. = половине гипотенузы, то есть MN=1/2 AN, AN=2MN=2*6=12. Так как N середина AB, то AB = 24. Из треугольника AMN tg 60=AM/MN. AM=tg60*MN=6sqrt3 (sqrt-корень) Так как М - середина АС, то АС = 12sqrt3. Рассмотрим треугольник АВС. Угол А=30, значит противоположный катет СВ=половине гипотенузы. CB=1/2AB=12. Рассмотрим треугольник BCM. CM=6sqrt3, CB=12, C=90 градусов. По теореме Пифагора МВ=6sqrt7. Площадь прямоугольного треугольника = 1/2 произведение катетов. S(треугольника AMN)=1/2*6sqrt3*6=18sqrt3
4,5(74 оценок)
Это интересно:
Новые ответы от MOGZ: Геометрия
logo
Вход Регистрация
Что ты хочешь узнать?
Спроси Mozg
Открыть лучший ответ