1)

ответ: АВ=22,5
ВС=17,5
2)

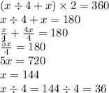
Угол А=144°
Угол В=36°
Угол С=144°
Угол Д=36°
3)

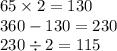
Угол А=115°
Угол В=115°
Угол С=65°
Угол Д=65°
Відповідь:V=15см³
Пояснення:
Объем такого параллелепипеда равен произведению его трех измерений.
Одно из этих измерений равно 5см. Пусть оставшиеся измерения равны X и Y. Тогда периметр параллелепипеда равен 4*X+4*Y+4*5 =36см. Или
X+Y=4 см. (1) Х=4-Y (2).
Площадь полной поверхности параллелепипеда:
S=2*(5*X)+2*(5*Y)+2*X*Y=46 см². Или
5*X+5*Y+X*Y=23 см². Или
5(X+Y)+X*Y=23 см². Подставим значение (1):
5*4+X*Y=23 => X*Y=3. Подставим значение из (2):
Y²-4Y+3=0. Решаем это квадратное уравнение:
Y1=1 см. => X1=3см
Y2=3см. => X2 =1см.
Тогда объем параллелепипеда равен 1*3*5=15см³.
ответ: V=15см³.




