М
Молодежь
К
Компьютеры-и-электроника
Д
Дом-и-сад
С
Стиль-и-уход-за-собой
П
Праздники-и-традиции
Т
Транспорт
П
Путешествия
С
Семейная-жизнь
Ф
Философия-и-религия
Б
Без категории
М
Мир-работы
Х
Хобби-и-рукоделие
И
Искусство-и-развлечения
В
Взаимоотношения
З
Здоровье
К
Кулинария-и-гостеприимство
Ф
Финансы-и-бизнес
П
Питомцы-и-животные
О
Образование
О
Образование-и-коммуникации
yuliko13
yuliko13
29.09.2021 06:09 •  Геометрия

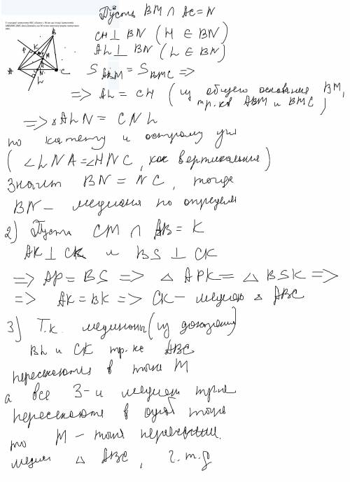
У середині трикутника ABC обрано т. М,так що площі трикутників AMB,BMC,AMC рівні.Доведіть що М-точка перетину медіан трикутника АВС.

👇
Ответ:
xotmirov1
xotmirov1
29.09.2021

Объяснение:

У середині трикутника ABC обрано т. М,так що площі трикутників AMB,BMC,AMC рівні.Доведіть що М-точка перетину медіан трикутника АВС.


У середині трикутника ABC обрано т. М,так що площі трикутників AMB,BMC,AMC рівні.Доведіть що М-точка
4,5(69 оценок)
Открыть все ответы
Ответ:
dygbejs
dygbejs
29.09.2021

Ознаки рівності прямокутних трикутників:

Якщо гіпотенуза й катет одного прямокутного трикутника відповідно рівні гіпотенузі й катету іншого прямокутного трикутника, то такі трикутники рівні.

Якщо катети одного прямокутного трикутника відповідно рівні катетам іншого прямокутного трикутника, то такі трикутники рівні.

Якщо катет і протилежний до нього гострий кут одного прямокутного трикутника відповідно рівні катету і протилежному до нього гострому куту іншого прямокутного трикутника, то такі трикутники рівні.

Объяснение:

4,8(95 оценок)
Ответ:
Фейз
Фейз
29.09.2021
Условие задачи дано с ошибкой: если в основании прямоугольного параллелепипеда квадрат, то диагональ основания составляет с боковой гранью угол 45°, а не 30°. Кроме того, по этим данным невозможно найти высоту прямоугольного параллелепипеда.

Задача встречается в таком виде:
Основанием прямоугольного параллелепипеда служит квадрат. Диагональ параллелепипеда  равна 12, она составляет угол 30° с плоскостью боковой грани. Найдите объём прямоугольного параллелепипеда.

DB₁ - диагональ прямоугольного параллелепипеда.
Угол между прямой и плоскостью - угол между прямой и ее проекцией на эту плоскость.
В₁С₁⊥(DD₁C₁), значит DC₁ - проекция диагонали DB₁ на плоскость (DD₁C₁), а ∠B₁DC₁ = 30°.

ΔB₁C₁D: ∠C₁ = 90°,
                 B₁C₁ = DB₁ · sin30° = 12 · 1/2 = 6 - ребро основания
                 DC₁ = DB₁ · cos 30° = 12 · √3/2 = 6√3

ΔDCC₁: ∠C = 90°, по теореме Пифагора
               СС₁ = √(DС₁² - DC²) = √(108 - 36) = √72 = 6√2 - высота параллелепипеда

V = Sосн·H = 6² · 6√2 = 216√2
4,7(51 оценок)
Это интересно:
Новые ответы от MOGZ: Геометрия
Полный доступ к MOGZ
Живи умнее Безлимитный доступ к MOGZ Оформи подписку
logo
Вход Регистрация
Что ты хочешь узнать?
Спроси Mozg
Открыть лучший ответ