М
Молодежь
К
Компьютеры-и-электроника
Д
Дом-и-сад
С
Стиль-и-уход-за-собой
П
Праздники-и-традиции
Т
Транспорт
П
Путешествия
С
Семейная-жизнь
Ф
Философия-и-религия
Б
Без категории
М
Мир-работы
Х
Хобби-и-рукоделие
И
Искусство-и-развлечения
В
Взаимоотношения
З
Здоровье
К
Кулинария-и-гостеприимство
Ф
Финансы-и-бизнес
П
Питомцы-и-животные
О
Образование
О
Образование-и-коммуникации
Катрин1907
Катрин1907
26.01.2022 04:47 •  Геометрия

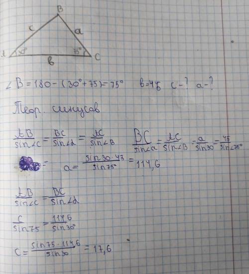
Угол A 30 градусов, угол C 75 градусов угол b маленькая 45 градусов решить треугольник

👇
Ответ:
21Oleg12
21Oleg12
26.01.2022

Объяснение:

На картинке


Угол A 30 градусов, угол C 75 градусов угол b маленькая 45 градусов решить треугольник
4,6(83 оценок)
Открыть все ответы
Ответ:
LuLu6780
LuLu6780
26.01.2022
Медиана, опущенная на основание, в равнобедренном треугольнике, является высотой и биссектрисой (рисунок 1)
По теореме Пифагора находим AB:
AB² = AH²+BH² = 160²+40²=27200
AB = 40√17

Рисунок 2. На луче AO отложим отрезок OD, OD=AO. Соединим точку D с точками B и C. Рассмотрим четырехугольник ABDC. BO=CO (так как AO — медиана треугольника ABC); AO=DO (по построению). Так как диагонали четырехугольника ABDC в точке пересечения делятся пополам, то ABDC — параллелограмм.
По свойству диагоналей параллелограмма
AD²+BC²=2*(AB²+AC²)
AD²+(40√17)²=2*((40√17)²+80²)
AD²=2*(27200+6400)-27200
AD²=40000
AD = 200
AO = AD/2 = 200/2 = 100

Медианы AO и CO1 равны (рисунок 3). 
т.е. AO = CO1 = 100

Медиана, проведённая к основанию равнобедренного треугольника, равна 160 см, а основание треугольник
4,7(77 оценок)
Ответ:
adrienagrest
adrienagrest
26.01.2022
Треугольник АВС, АВ=ВС, уголА=уголС, АК-медиана=6 на ВС, уголКАС=15, проводим медиану СМ на АВ, медианы в равнобедренном треугольнике, проведенные к боковым сторонам равны, АК=СМ=6, пересечение медиан - точка О, медианы при пересечении делятся в отношении 2/1 начиная от вершины, АК=3 части, 1 часть=АК/3=6/3=2=ОК=ОМ, АО=СО=4, треугольник АОС равнобедренный, уголКАС=уголАСМ=15, уголАОС=180-15-15=150, АС в квадрате=АО в квадрате+СО в квадрате-2*АО*СО*cos150=16+16-2*4*4*(-корень3/2)=16*(2+корень3), АС=4*корень(2+корень3), отдельно  приведем корень(2+корень3) = корень((2+корень(2*2-3))/2)+корень((2-корень(2*2-3))/2)=корень(3/2)+корень(1/2), АС=4*((корень(3/2)+корень(1/2))=корень(16*3/2)+корень(16/2)=корень24+корень8=2*(корень6+корень2)=2*корень2*(корень3+1), площадь треугольника КАС=1/2*АК*АС*sin15=1/2*6*2*корень2*(корень3+1)*sin15, отдельно рассматриваем sin15=sin(45-30)=sin45*cos30-cos45*sin30=((корень2/2)*(корень3/2))-((корень2/2)*(1/2))=(корень2/4)*(корень3-1), площадь КАС=1/2*6*2*корень2*(корень3+1)*(корень2/4)*(корень3-1)=3*(3-1)=6, медиана делит треугольник на два равновеликих треугольника, площадь КАС=площадьАВК=1/2площадьАВС, площадь АВС=2*площадь КАС=2*6=12
4,6(90 оценок)
Это интересно:
Новые ответы от MOGZ: Геометрия
logo
Вход Регистрация
Что ты хочешь узнать?
Спроси Mozg
Открыть лучший ответ