М
Молодежь
К
Компьютеры-и-электроника
Д
Дом-и-сад
С
Стиль-и-уход-за-собой
П
Праздники-и-традиции
Т
Транспорт
П
Путешествия
С
Семейная-жизнь
Ф
Философия-и-религия
Б
Без категории
М
Мир-работы
Х
Хобби-и-рукоделие
И
Искусство-и-развлечения
В
Взаимоотношения
З
Здоровье
К
Кулинария-и-гостеприимство
Ф
Финансы-и-бизнес
П
Питомцы-и-животные
О
Образование
О
Образование-и-коммуникации
марина1927
марина1927
17.02.2021 21:35 •  Геометрия

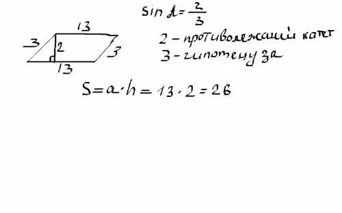
Стороны параллелограмма равны 3 и 13 а синус одного из углов параллелограмма равен 2/3. найдите площадь параллелограмма

👇
Ответ:
ArtemDenisiuk
ArtemDenisiuk
17.02.2021
Решение во вложениях)))))))))))))))))))))))))))))
Стороны параллелограмма равны 3 и 13 а синус одного из углов параллелограмма равен 2/3. найдите площ
4,4(41 оценок)
Ответ:
prepelitsa
prepelitsa
17.02.2021
3*13*2/3=26 формула такая же как у треугольника только на два делить не надо
4,5(80 оценок)
Открыть все ответы
Ответ:
buniatyansona
buniatyansona
17.02.2021

Опустим в треугольнике АМВ перпендикуляр МТ из точки М ,(Т лежит на АВ) 
так как АМ=ВМ МТ- медиана и АТ=ВТ=2 см, 
полупериметр АМВ=(2*2корень(6)+4)/2=2(корень(6)+1) 
по формуле Герона площадь треугольника АМВ равна: Корень(2(корень(6)+1)*2*2*2(корень(6)-1)=4корень(5) 
но лощадь треугольника АМВ равна:0,5*АВ*МТ=2МТ, а значит МТ=2корень(6) 
рассмотрим треугольник ВТС - прямоугольный, по теореме Пифагора: СТ=корень(16+4)=2корень(5) 
МТ перпендикулярна плоскости квадрата, а значит и перпендикулярна СТ, значит треугольник МСТ-прямоугольный, по тереме Пифагора: МС=корень(20+20)=2корень(10)

4,4(61 оценок)
Ответ:
graulity
graulity
17.02.2021

Как ни удивительно, но в данном случае формула Герона для площади - это самый простой вычисления синуса большего угла. К сожалению, этот треугольник нельзя разрезать на Пифагоровы.

 

Первое, что надо понять - все размеры можно смело сократить на 5. В этом случае получается треугольник со сторонами 8, 15, 21, подобный исходному, то есть у него - такие же точно углы. Нужно найти угол противолежащий стороне 21(против большей стороны лежит больший угол). Обозначим его Ф.

Надем площадь. 

Полупериметр (8 + 15+ 21)/2 = 22; 22 - 8 = 14; 22 - 15 = 7; 22 - 21 = 1;

S^2 = 22*14*7*1 = 11*14^2; S = 14*корень(11);

Поскольку S = 8*15*sin(Ф)/2, то sin(Ф) = (7/30)*корень(11);

 

С другой стороны, для cos(Ф) можно записать теорему косинусов

21^2 = 8^2 + 15^2 - 2*8*15*cos(Ф); 

Откуда cos(Ф) = (21^2 - 8^2 - 15^2)/240 = 19/30;

 

Поскольку оба результата на первый взгляд получены разными можно проверить, что

(sin(Ф))^2 +  (cos(Ф))^2 = 1; сделайте это сами :)

 

4,6(96 оценок)
Это интересно:
Новые ответы от MOGZ: Геометрия
logo
Вход Регистрация
Что ты хочешь узнать?
Спроси Mozg
Открыть лучший ответ