М
Молодежь
К
Компьютеры-и-электроника
Д
Дом-и-сад
С
Стиль-и-уход-за-собой
П
Праздники-и-традиции
Т
Транспорт
П
Путешествия
С
Семейная-жизнь
Ф
Философия-и-религия
Б
Без категории
М
Мир-работы
Х
Хобби-и-рукоделие
И
Искусство-и-развлечения
В
Взаимоотношения
З
Здоровье
К
Кулинария-и-гостеприимство
Ф
Финансы-и-бизнес
П
Питомцы-и-животные
О
Образование
О
Образование-и-коммуникации

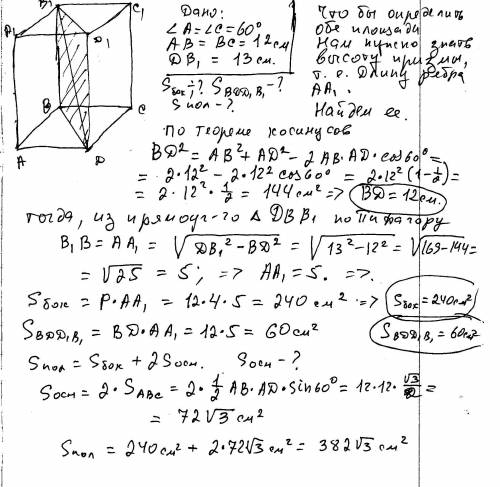
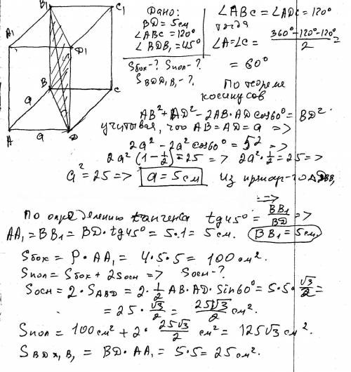
Решить ! 1. основание прямой призмы - ромб со стороной 12 см и углом 60 градусов. меньшая диагональ параллелепипеда равна 13 см. найдите площадь: а) боковой поверхности призмы. б) полной поверхности призмы в) диагонального сечения, содержащего меньшую диагональ призмы. 2. основание призмы - ромб с меньшей диагональю 5 см и углом 120 градусов. меньшая диагональ параллелепипеда образует угол 45 градусов с плоскостью основания. найдите площадь: а) боковой поверхности призмы б) полной поверхности призмы в) диагонального сечения, содержащего меньшую диагональ призмы

👇
Ответ:
alena02122005
alena02122005
17.11.2021
Решение в скане............

Решить ! 1. основание прямой призмы - ромб со стороной 12 см и углом 60 градусов. меньшая диагональ
Решить ! 1. основание прямой призмы - ромб со стороной 12 см и углом 60 градусов. меньшая диагональ
4,4(32 оценок)
Открыть все ответы
Ответ:
tupykomiks
tupykomiks
17.11.2021
Расстояние от точки С до прямой АВ это высота СН, проведенная из точки С к гипотенузе. Так как в прямоугольном треугольнике АВС угол А равен 45º, то этот треугольник равнобедренный. А значит высота, проведенная из вершины С к основанию, является биссектрисой и медианой. Гипотенуза АВ разделилась на два равных отрезка АН=НВ=54/2=27.
СН - биссектриса, значит угол АСН (как и угол ВСН) равен 45º. Значит треугольники АНС и ВНС прямоугольные равнобедренные. СН (наше искомое расстояние от точки С до АВ) =АН=27.
ответ: 27.
4,7(46 оценок)
Ответ:
Расстояние от точки С до прямой АВ это высота СН, проведенная из точки С к гипотенузе. Так как в прямоугольном треугольнике АВС угол А равен 45º, то этот треугольник равнобедренный. А значит высота, проведенная из вершины С к основанию, является биссектрисой и медианой. Гипотенуза АВ разделилась на два равных отрезка АН=НВ=54/2=27.
СН - биссектриса, значит угол АСН (как и угол ВСН) равен 45º. Значит треугольники АНС и ВНС прямоугольные равнобедренные. СН (наше искомое расстояние от точки С до АВ) =АН=27.
ответ: 27.
4,4(71 оценок)
Это интересно:
Новые ответы от MOGZ: Геометрия
logo
Вход Регистрация
Что ты хочешь узнать?
Спроси Mozg
Открыть лучший ответ