М
Молодежь
К
Компьютеры-и-электроника
Д
Дом-и-сад
С
Стиль-и-уход-за-собой
П
Праздники-и-традиции
Т
Транспорт
П
Путешествия
С
Семейная-жизнь
Ф
Философия-и-религия
Б
Без категории
М
Мир-работы
Х
Хобби-и-рукоделие
И
Искусство-и-развлечения
В
Взаимоотношения
З
Здоровье
К
Кулинария-и-гостеприимство
Ф
Финансы-и-бизнес
П
Питомцы-и-животные
О
Образование
О
Образование-и-коммуникации
KrystallBlack
KrystallBlack
21.03.2022 09:31 •  Геометрия

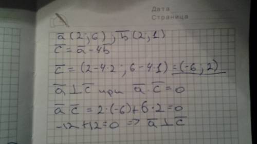
Даны векторы a(2; 6) и b(2; 1)а)найдите вектор c =вектор a-4вектора bб)докажите, что векторы a и c перпендикулярны

👇
Ответ:
LediDiana2005
LediDiana2005
21.03.2022
ответ во вложении...................
Даны векторы a(2; 6) и b(2; 1)а)найдите вектор c =вектор a-4вектора bб)докажите, что векторы a и c п
4,5(71 оценок)
Открыть все ответы
Ответ:
Данана1
Данана1
21.03.2022
Пустыня в тусклом, жарком свете.За нею — розовая мгла.Там минареты и мечети,Их росписные купола.
Там шум реки, базар под сводом,Сон переулков, тень садов —И, засыхая, пахнут мёдомНа кровлях лепестки цветов.
Иван Бунин



Налево – шаг, направо – шаг:
Кругом – сплошной песок!
Пустыня – это не пустяк
Ни вдоль, ни поперёк.

Внутри пустыни – пустота.
Она ничем не занята
Ни летом, ни зимою.
Одни барханы – там и тут,
Да иногда качнёт верблюд
Горбатою спиною.

За шагом – шаг, за шагом - шаг...
Пройти пустыню – не пустяк.
Ступаю осторожно...
Тут можно три часа бродить,
Зато уж ноги промочить
В пустыне невозможно.

И горло больше не болит,
И вообще – здоровый вид
Да только мама говорит:
– Ну на сегодня хватит!
Вот сорванец!..
И как ты мог
Пойти в пустыню без сапог?!
А вдруг потоп! А вдруг поток...
Лежи-ка ты в кровати!

Евсеева Е.
4,7(59 оценок)
Ответ:
hamov1408p06m04
hamov1408p06m04
21.03.2022

1)ответ:

V = 5√3/6 ед³.

Sбок = 144 ед².

Объяснение:

Судя по тому, что ∠АВС= 120°, параллелепипед не прямоугольный, а прямой. Это "две большие разницы".

Итак, высота параллелепипеда равна 9см, а в основании прямого параллелепипеда лежит параллелограмм со стороной ВС = 5 см, диагональю АС=7см и углом АВС = 120°. По теореме косинусов попробуем найти сторону АВ.

АС² =АВ²+ВС² - 2·АВ·ВС·Cos120. Cos120 = -Cos60 = - 1/2.

49 = AB²+25 - 2·AB·5·(-1/2) =>

АВ²+5·АВ -24 =0 => AB = 3cм

So = AB·BC·Sin120 = 3·5·√3/2.

V = So·h = (3·5·√3/2)·9 = 5√3/6 ед³. (площадь основания, умноженная на высоту).

Sбок = Р·h = 2(3+5)·9 = 144 ед² ( периметр, умноженный на высоту)

2)Обозначим радиус основания конуса R, высоту Н.

По заданию угол, тангенс которого равен Н/R, равен 30 градусов.

Н/R = tg30° = √3/3.

Отсюда Н =  R√3/3 см.

Площадь сечения S = (1/2)*2R*H =RH = R*(R√3/3) = R²√3/3 см².

Приравняем по заданию: R²√3/3 = 9√3 см².

R² = 9*3, а R = 3√3 см.

Высота Н = R√3/3 = (3√3)*(√3/3) = 3 см.

4,6(42 оценок)
Это интересно:
Новые ответы от MOGZ: Геометрия
Полный доступ к MOGZ
Живи умнее Безлимитный доступ к MOGZ Оформи подписку
logo
Вход Регистрация
Что ты хочешь узнать?
Спроси Mozg
Открыть лучший ответ