М
Молодежь
К
Компьютеры-и-электроника
Д
Дом-и-сад
С
Стиль-и-уход-за-собой
П
Праздники-и-традиции
Т
Транспорт
П
Путешествия
С
Семейная-жизнь
Ф
Философия-и-религия
Б
Без категории
М
Мир-работы
Х
Хобби-и-рукоделие
И
Искусство-и-развлечения
В
Взаимоотношения
З
Здоровье
К
Кулинария-и-гостеприимство
Ф
Финансы-и-бизнес
П
Питомцы-и-животные
О
Образование
О
Образование-и-коммуникации
bugaamn1
bugaamn1
05.11.2020 07:04 •  Геометрия

Вектори ом і мт взаимно перпендикулярны, их модули равны между собою. известно, что т(7; 17). найдите координаты точки м.

👇
Ответ:
LizaZZ6
LizaZZ6
05.11.2020
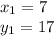
Пусть координаты точки O(x;y) ; M(x_{1};y_{1}) 
  OM=(x_{1}-x;y_{1}-y) \\
MT=(7-x_{1};17-y_{1})\\\\
|OM|=|MT|\\\\
\sqrt{(x_{1}-x)^2+(y_{1}-y)^2}=\sqrt{(7-x_{1})^2+(17-y_{1})^2}\\
(x_{1}-x)(7-x_{1})+(y_{1}-y)(17-y_{1})=0\\\\
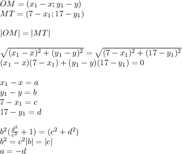
x_{1}-x=a\\
y_{1}-y=b\\
7-x_{1}=c\\
17-y_{1}=d\\\\
b^2(\frac{d^2}{c^2}+1)=(c^2+d^2)\\
 b^2=c^2
 |b|=|c|\\
 a=-d\\
 
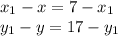
  Длина вектор равны когда  соответствующие координаты равны 
    x_{1}-x=7-x_{1}\\
y_{1}-y=17-y_{1} 
 Откуда x_{1}=7\\ 
y_{1}=17
4,4(10 оценок)
Открыть все ответы
Ответ:
egor572
egor572
05.11.2020

1) ch3-сh2-> ch3-ch=ch2+ h2 (условия: t, ni)2)  ch3-ch=ch2+ > ch3-ch-ch3

                                                            |

                                                            cl3)   ch3-ch-ch3+ koh(> ch3-ch-ch3+ kcl

                |                                                             |

                cl                                                           oh

4) 2 ch3-ch-> ch3-ch--o--ch--ch3+ 2h2o (условия: t< 140, h2so4)

                    |                                 |             |

                    oh                           ch3     ch3

5)  ch3-ch--o--ch--ch3 + > ch3-ch-ch3+ ch3-ch-ch3

                |             |                                           |                           |

                ch3       ch3                                   oh                       i

4,6(15 оценок)
Ответ:
Натама
Натама
05.11.2020

это легко, нужно что бы количество одного атома так скажем, с левой стороны знака "=" было таким как и с правой. например:

na + o2 => na2o

как видишь здесь кислорода с левой стороны 2, а с правой 1, значит перед формулой na2o, нужно поставить коефициент 2. у нас получаеться вот такое уравнения:

na + o2 => 2 na2o   но как видешь с левой стороны натрия 1, а с правой выходит 4 ( так как перед формулой есть коефициент 2, и возле натрия тоже имееться коефициент, перемножив их мы получаем 4) что бы уравнять натрий нужно с левой стороны увеличить количество натрия, а как это сделать? правильно нужно перед na поставить коефициент 4

и так у нас получаеться:

4na + o2 => 2 na2o - это выходит правильно уравнения. мы уравняли количество речовини с левой стороны и с правой. 

4,8(49 оценок)
Это интересно:
Новые ответы от MOGZ: Геометрия
logo
Вход Регистрация
Что ты хочешь узнать?
Спроси Mozg
Открыть лучший ответ