М
Молодежь
К
Компьютеры-и-электроника
Д
Дом-и-сад
С
Стиль-и-уход-за-собой
П
Праздники-и-традиции
Т
Транспорт
П
Путешествия
С
Семейная-жизнь
Ф
Философия-и-религия
Б
Без категории
М
Мир-работы
Х
Хобби-и-рукоделие
И
Искусство-и-развлечения
В
Взаимоотношения
З
Здоровье
К
Кулинария-и-гостеприимство
Ф
Финансы-и-бизнес
П
Питомцы-и-животные
О
Образование
О
Образование-и-коммуникации
yuliyasss
yuliyasss
26.03.2020 08:30 •  Геометрия

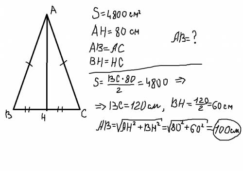
Мне , по , и объясни мне как решить . : площадь равнобедренного треугольника равна 4800см2 , а его высота , проведенная к основанию , равна 80 см. найдите боковую сторону треугольника.

👇
Ответ:
ANTON5452
ANTON5452
26.03.2020
Решение во вложении
4,4(72 оценок)
Ответ:
LeviAckerman13
LeviAckerman13
26.03.2020
S=1/2ah
1/2*80a=4800
40a=4800
a=120
основание 120 см
высота-медиана, половина основания=60 см
высота делит треугольник на 2 прямоугольных треугольника. Рассмотрим один из них: гипотенуза-это боковая сторона, один катет-боковая сторона, другой-половина основания
По т. Пифагора боковая сторона=√80²+60²=64600+3600=√10000=100

Мне , по , и объясни мне как решить . : площадь равнобедренного треугольника равна 4800см2 , а его в
4,5(39 оценок)
Открыть все ответы
Ответ:

Первое решение полное и понятное. Если  не помните формулу Герона, есть 

Вариант решения ( без формулы Герона). 

Формула радиуса описанной окружности 

R=a•b•c/4S, где а, b, и с - стороны треугольника

S-a•h

Проведем к большей стороне АС высоту ВН.

Примем СН=х

Тогда АН=14-х 

По т.Пифагора 

ВН²=АВ²-АН² =169-196+28х-х²

ВН²=ВС²-СН²=144-х²

Приравняем значения квадрата высоты:

169-196+28х-х²=144-х², откуда 

28х=171

х=6,107

ВН=√(144-37,3)=√106,7=10,33 

S=10,33•14/2=72,31

R=12•13•14/4•72,31=546/72,3= ≈7,55 см

sinA=BH/АВ==10,33/13= ≈0,7946

∠А≈52°36'

 


Втреугольнике со сторонами 13,12 и 14 см найти радиус описанной окружности и угол, противолежащий ме
4,5(65 оценок)
Ответ:
dimka2zab
dimka2zab
26.03.2020

Первое решение полное и понятное. Если  не помните формулу Герона, есть 

Вариант решения ( без формулы Герона). 

Формула радиуса описанной окружности 

R=a•b•c/4S, где а, b, и с - стороны треугольника

S-a•h

Проведем к большей стороне АС высоту ВН.

Примем СН=х

Тогда АН=14-х 

По т.Пифагора 

ВН²=АВ²-АН² =169-196+28х-х²

ВН²=ВС²-СН²=144-х²

Приравняем значения квадрата высоты:

169-196+28х-х²=144-х², откуда 

28х=171

х=6,107

ВН=√(144-37,3)=√106,7=10,33 

S=10,33•14/2=72,31

R=12•13•14/4•72,31=546/72,3= ≈7,55 см

sinA=BH/АВ==10,33/13= ≈0,7946

∠А≈52°36'

 


Втреугольнике со сторонами 13,12 и 14 см найти радиус описанной окружности и угол, противолежащий ме
4,6(45 оценок)
Новые ответы от MOGZ: Геометрия
logo
Вход Регистрация
Что ты хочешь узнать?
Спроси Mozg
Открыть лучший ответ