1. Радиус окружности, вписанной в прямоугольный треугольник, равен

2r = a+b-c
a+b-c = 8
a+b = c+8
Периметр треугольника равен
a+b+c = P
a+b+c = 90
a+b = 90-c
Так как левые части выделенных равенств равны, приравниваем правые части и находим гипотенузу с.
с+8=90-с
с+с=90-8
2с=82
с=41
2. Составим систему уравнений, где а и b - катеты.
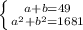
Первое уравнение составим из первого выделенного равенства, подставив вместо с число 41: a+b=41+8; a+b=49
Второе уравнение составим, используя теорему Пифагора:
а²+b² = 41²
a²+b² = 1681
Получили систему уравнений:
⇔ 
a²+(49-a)²=1681
a²+2401-98a+a²-1681=0
2a²-98a+720=0 /2
a²-49a+360=0
D=2401-1440=961
a₁ = (49-31)/2 = 9 b₁ = 49-9 = 40
a₂ = (49+31)/2 = 40 b₂ = 49-40 = 9
ответ. Катеты равны 9 см и 40 см.
углы AOB и DOC равны как вертикальные
углы BAO и OCD равны как внутренние накрест лежащие при параллельных прямых AB и CD и секущей AC, аналогично равны и углы ABO и ODC.
Следовательно треугольники ABO и CDO подобны по трем углам.
тогда АО:ОС=ВО:ОД (отношение соответственных сторон) - а)
также AB:DC=OB:DO, следовательно AB=DC*OB/DO=25*9/15=15
2
АВ/KM=8/10=0,8
BC/MN=12/15=0,8
AC/NK=16/20=0,8
Треугольники АВС и KMN - подобные (по третьему признаку).
Отношение площадей подобных треугольников равно квадрату коэффициента подобия:
ответ: 0,64.
Пусть а см и b см - длины катетов, с см - длина гипотенузы.
Для прямоугольного треугольника:
r=(a+b-c)/2,
(a+b-c)/2=4.
a+b-c=8,
a+b=c+8.
Используем периметр треугольника:
a+b+c=90,
a+b=90-с.
Значит, c+8=90-с, 2с=82, с=41.
a+b=90-с=90-41=49.
b=49-a.
По теореме Пифагора
a^2+b^2=c^2,
a^2+(49-a)^2=41^2,
a^2+2401+a^2-98а=1681,
2*a^2-98а+720=0,
a^2-49а+360=0,
а1=40, а2=9,
b1=49-40=9, b2=49-9=40.
ответ: 9 см и 40 см.