М
Молодежь
К
Компьютеры-и-электроника
Д
Дом-и-сад
С
Стиль-и-уход-за-собой
П
Праздники-и-традиции
Т
Транспорт
П
Путешествия
С
Семейная-жизнь
Ф
Философия-и-религия
Б
Без категории
М
Мир-работы
Х
Хобби-и-рукоделие
И
Искусство-и-развлечения
В
Взаимоотношения
З
Здоровье
К
Кулинария-и-гостеприимство
Ф
Финансы-и-бизнес
П
Питомцы-и-животные
О
Образование
О
Образование-и-коммуникации
Невидимка003
Невидимка003
11.03.2022 17:18 •  Геометрия

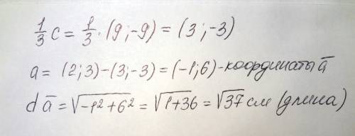
Найдите координаты и длину вектора a если a=b-1/3c , b={2; 3} c={9; -9}

👇
Ответ:
dgumaeva17
dgumaeva17
11.03.2022
....................
Найдите координаты и длину вектора a если a=b-1/3c , b={2; 3} c={9; -9}
4,7(97 оценок)
Открыть все ответы
Ответ:
greghs
greghs
11.03.2022
1. Решение:
Рассмотрим треугольник АВE:
В этом трeугольнике угол EАК равен углу EАD, т.к. АE-биссектриса. Но угол EАD равен также углу ВEА - как накрест лежащие углы при пересечении 2-ух параллельных прямых ВС и АD секущей АE.
Следовательно угол ВАE равен углу ВEА, а значит треугольник ВАEравнобедренный отсюда следует, что
АВ=ВE=7.
Т.к. АВСD-параллелограмм, то АВ=СD=7, ВС=АD=21.Найдем периметр параллелограмма: АВ+ВС+СD+АD=7+21+7+21= 56 см.
2. Решение: 
Дано:
ABCD - ромб
Доказать:
ABCD - параллелограмм
Доказательство: 
ABCD - ромб , следовательно 
AB=BC=CD=AD
угол А = угол С = 90 градусов 
угол А + угол В = 180 градусов , т.е. угол B =180 градусов - угол A = 90 градусов
Что и требовалось доказать.
4,6(51 оценок)
Ответ:
asmolova2
asmolova2
11.03.2022
1. Центральные углы АОЕ и ВОЕ, опирающиеся на дуги АЕ и ВЕ, соответственно, равны их градусным мерам.
Рассмотрим треуг-ик АОВ. Он равнобедренный, т.к. АО и ВО - радиусы окружности. Отрезок ОЕ перпендикулярен КМ, т.к. КМ - касательная (касательная к окружности перпендикулярна к радиусу, проведенному в точке касания Е). Значит, ОЕ перпендикулярен и хорде АВ (если прямая перпендикулярна к одной из двух параллельных прямых КМ, то она перпендикулярна и к другой АВ. Прямые АВ и КМ параллельны по условию). Тогда ОЕ - высота равнобедренного треуг-ка АОВ. Пользуемся свойством равнобедренного треуг-ка о том, что высота его, проведенная к основанию, является медианой и биссектрисой. Значит
<AOE=<BOE
Следовательно, дуги АЕ и ВЕ, на которые опираются эти углы, также равны между собой: АЕ=ВЕ

2. Пользуемся свойством биссектрисы угла: каждая точка биссектрисы неразвернутого угла равноудалена от его сторон. Строим биссектрису угла ВАС, на ее пересечении с катетом  ВС ставим точку Е. Помним о том, что расстояние от точки Е до прямой - длина перпендикуляра от этой точки до прямой. Перпендикуляр СЕ уже есть (угол С прямой по условию), строим перпендикуляр ЕС1. ЕС=ЕС1
Докажите, что касательная, параллельная хорде, делит в точке касания дугу, стягивающую этой хоpдой,
Докажите, что касательная, параллельная хорде, делит в точке касания дугу, стягивающую этой хоpдой,
4,8(72 оценок)
Это интересно:
Новые ответы от MOGZ: Геометрия
logo
Вход Регистрация
Что ты хочешь узнать?
Спроси Mozg
Открыть лучший ответ