М
Молодежь
К
Компьютеры-и-электроника
Д
Дом-и-сад
С
Стиль-и-уход-за-собой
П
Праздники-и-традиции
Т
Транспорт
П
Путешествия
С
Семейная-жизнь
Ф
Философия-и-религия
Б
Без категории
М
Мир-работы
Х
Хобби-и-рукоделие
И
Искусство-и-развлечения
В
Взаимоотношения
З
Здоровье
К
Кулинария-и-гостеприимство
Ф
Финансы-и-бизнес
П
Питомцы-и-животные
О
Образование
О
Образование-и-коммуникации
настя6670
настя6670
24.08.2022 08:53 •  Геометрия

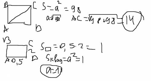
1)найдите диагональ квадрата. если его площадь равна 98. 2)найдите сторону квадрата, площадь которого равна площади прямоугольника со сторонами 0,5 и 2.

👇
Ответ:
Roma99812
Roma99812
24.08.2022
...........................................
1)найдите диагональ квадрата. если его площадь равна 98. 2)найдите сторону квадрата, площадь которог
4,5(86 оценок)
Открыть все ответы
Ответ:
Zashas1
Zashas1
24.08.2022
Обозначим через ВК высоту, опущенную на сторону АС.
ВК=BD*sin(BDA)
С другой стороны, AD = AC / 2 = BD / cos(BDA) => AC = 2 * BD / cos(BDA)
Площадь S треугольника АВС:
S = ВК*АС / 2 = ВК*АD = BD*sin(BDA) * BD / cos(BDA) = BD^2 * tg(BDA)
tg(BDA) = S / BD^2; 1 / cos(BDA) = корень (1 + tg^2(BDA)) = корень (1 + S^2 / BD^4)
Таким образом,
AC = 2 * BD / cos(BDA) = 2 * BD * корень (1 + S^2 / BD^4)
АС = 2 * 3 * корень (1 + 12^2 / 3^4) = 6 * корень (1 + 144 / 81) = 6 * корень (225 / 81) = 6 * 15 / 9 = 10.
4,7(77 оценок)
Ответ:
Ziri12
Ziri12
24.08.2022
Давайте без точки О.
1. Строим АК. То есть надо разделить угол А ПОПОЛАМ. Из точки А циркулем делаем засечки D и E (одним радиусом) . Затем ставим острие циркуля в точки D и E и описываем равными радиусами дуги, пересекающиеся в точке F. Прямая, соединяющая А и F делит угол А пополам. Продолжаем эту прямую до пересечения со стороной ВС и получаем точку К.
2) Строим ВМ. То есть надо разделить сторону АС пополам. Одним раствором циркуля (большим половины АС) делаем засечки с двух сторон от АС. Соединяем точки засечек. Пересечение этой прямой с АС и дает точку М - середину АС.
3)Строим СН. То есть надо опустить из точки С перпендикуляр на АВ. Из точек А и Б проводим окружности, проходящие через точку С. Соединяем точки пересечения этих окружностей. Точка пересечения этой прямой с о стороной АВ и есть точка Н.

Дано: треугольник авс.построить: ак-биссектрисса, вм-медиана, сн-высота.мы уже начали в школе постор
4,7(5 оценок)
Это интересно:
Новые ответы от MOGZ: Геометрия
Полный доступ к MOGZ
Живи умнее Безлимитный доступ к MOGZ Оформи подписку
logo
Вход Регистрация
Что ты хочешь узнать?
Спроси Mozg
Открыть лучший ответ