М
Молодежь
К
Компьютеры-и-электроника
Д
Дом-и-сад
С
Стиль-и-уход-за-собой
П
Праздники-и-традиции
Т
Транспорт
П
Путешествия
С
Семейная-жизнь
Ф
Философия-и-религия
Б
Без категории
М
Мир-работы
Х
Хобби-и-рукоделие
И
Искусство-и-развлечения
В
Взаимоотношения
З
Здоровье
К
Кулинария-и-гостеприимство
Ф
Финансы-и-бизнес
П
Питомцы-и-животные
О
Образование
О
Образование-и-коммуникации
tafefuyozo
tafefuyozo
16.11.2021 05:19 •  Геометрия

Даны векторы а(2; 0; -1) и b(3; -1; 2).при каком значении к векторы 2а-кb и b-а будут перпендикулярны?

👇
Ответ:
rival6
rival6
16.11.2021
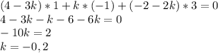
2a-kb=(2*2-k*3;2*0-k*(-1);2*(-1)-k*2)=\\=(4-3k;k;-2-2k)\\b-a=(3-2;-1-0;2-(-1))=(1;-1;3)

Запишем выражение для перпендикулярности:
(4-3k)*1+k*(-1)+(-2-2k)*3=0\\4-3k-k-6-6k=0\\-10k=2\\k=-0,2
4,6(100 оценок)
Открыть все ответы
Ответ:
13semiy
13semiy
16.11.2021
Расстояние от точки С до прямой АВ это высота СН, проведенная из точки С к гипотенузе. Так как в прямоугольном треугольнике АВС угол А равен 45º, то этот треугольник равнобедренный. А значит высота, проведенная из вершины С к основанию, является биссектрисой и медианой. Гипотенуза АВ разделилась на два равных отрезка АН=НВ=54/2=27.
СН - биссектриса, значит угол АСН (как и угол ВСН) равен 45º. Значит треугольники АНС и ВНС прямоугольные равнобедренные. СН (наше искомое расстояние от точки С до АВ) =АН=27.
ответ: 27.
4,6(50 оценок)
Ответ:
Rufa77
Rufa77
16.11.2021

1 - д.  2 - д  3 - д.

Объяснение:

1. Точка может быть центром бесконечного числа концентьрических окружностей (окружностей разных радиусов).

2. Через одну точку можно провести бесконечное число пересекающихся (или касающихся) окружностей.

3. Так как через три точки можно провести единственную окружность, а даны только 2 точки, то третья точка может располагаться в любом месте. Значит через две точки можно провести бесконечное число пересекающихся  (имеющих две общие точки) окружностей. Центры этих окружностей будут лежать на серединном перпендикуляре к отрезку АВ.


Сколько окружностей могут иметь центром данную точку: а)ни одной б)одна в)две д)бесконечно много ско
4,6(51 оценок)
Это интересно:
Новые ответы от MOGZ: Геометрия
logo
Вход Регистрация
Что ты хочешь узнать?
Спроси Mozg
Открыть лучший ответ