М
Молодежь
К
Компьютеры-и-электроника
Д
Дом-и-сад
С
Стиль-и-уход-за-собой
П
Праздники-и-традиции
Т
Транспорт
П
Путешествия
С
Семейная-жизнь
Ф
Философия-и-религия
Б
Без категории
М
Мир-работы
Х
Хобби-и-рукоделие
И
Искусство-и-развлечения
В
Взаимоотношения
З
Здоровье
К
Кулинария-и-гостеприимство
Ф
Финансы-и-бизнес
П
Питомцы-и-животные
О
Образование
О
Образование-и-коммуникации
hojimutito
hojimutito
31.03.2023 02:17 •  Геометрия

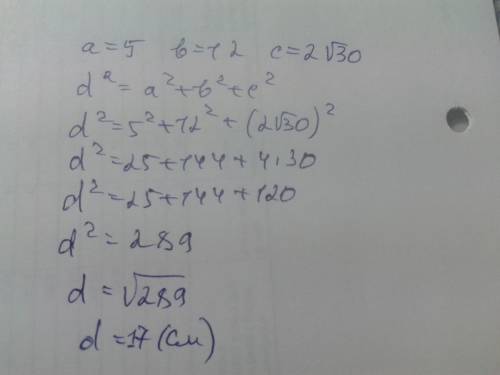
Основанием прямоугольной призмы является прямоугольник со сторонами 5 и 12см. боковое ребро равно 2 корня из30см найти диогональ призмы

👇
Ответ:
Gimngazia
Gimngazia
31.03.2023
Всё решаем по формуле.
Основанием прямоугольной призмы является прямоугольник со сторонами 5 и 12см. боковое ребро равно 2
4,4(52 оценок)
Открыть все ответы
Ответ:
123456533
123456533
31.03.2023
Площадь треугольника АСD по формуле Герона:
S=√[p(p-a)(p-b)(p-c)], где р - полупериметр, a,b,c - стороны.
В нашем случае р=14:2=7, тогда S=√(7*1*2*4) = 2√14.
S=(1/2)*h*AD, отсюда высота  треугольника АСD равна
h=2S/AD=(2√14)/3.
Тогда катет HD по Пифагору равен HD=√(CD²-h²)=√(9-56/9)=5/3.
Следовательно, отрезок АН=6-5/3=(18-5)/3=13/3.
По свойству высоты, опущенной из тупого угла на большее основание равнобокой трапеции, отрезок АН равен полусумме оснований трапеции. Тогда ее площадь равна
S=АН*h=(13/3)*(2√14)/3=26√14/9 ≈ 12,1.
ответ: S=26√14/9 ≈ 12,1.

Найдите площадь равнобедренной трапеции, у которой большее основание равно 6 см, боковая сторона 3 с
4,7(100 оценок)
Ответ:
DARKFEST1
DARKFEST1
31.03.2023
АВСА1В1С1 - усечённая пирамида.
Предложенное сечение - трапеция с основаниями, равными высотам, проведённым в основаниях пирамиды. АМ - высота в тр-ке АВС, ВМ=МС. А1М1 - высота в тр-ке А1В1С1 В1М1=С1М1.
Высота в прямоугольном тр-ке вычисляется по ф-ле h=а√3/2
АМ=8√3·√3/2=12.
А1М1=4√3·√3/2=6.
АММ1А1 - трапеция. Её площадь: S=(a+b)h/2=(АМ+А1М1)h/2 ⇒ 
h=2S/(АМ+А1М1)=2·54/(12+6)=6.
Площадь правильного тр-ка: S=a²√3/4.
S1=(8√3)²·√3/4=48√3.
S2=(4√3)²·√3/4=12√3.
Объём усечённой пирамиды: V=h(S1+√(S1·S2)+S2)/3
V=6(48√3+√(48√3·12√3)+12√3)/3=2(48√3+24√3+12√3)=168√3.
4,4(95 оценок)
Это интересно:
Новые ответы от MOGZ: Геометрия
logo
Вход Регистрация
Что ты хочешь узнать?
Спроси Mozg
Открыть лучший ответ