М
Молодежь
К
Компьютеры-и-электроника
Д
Дом-и-сад
С
Стиль-и-уход-за-собой
П
Праздники-и-традиции
Т
Транспорт
П
Путешествия
С
Семейная-жизнь
Ф
Философия-и-религия
Б
Без категории
М
Мир-работы
Х
Хобби-и-рукоделие
И
Искусство-и-развлечения
В
Взаимоотношения
З
Здоровье
К
Кулинария-и-гостеприимство
Ф
Финансы-и-бизнес
П
Питомцы-и-животные
О
Образование
О
Образование-и-коммуникации
edomokurov
edomokurov
03.11.2021 20:46 •  Геометрия

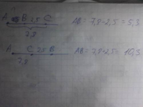
Соформлением "дано; пусть" 1) разность двух углов, образовавшихся при пересечении двух прямых, равна 42 градусам. найдите образовавшиеся углы. 2) прямые ab и cd пересекаются в точке o. ok биссекириса угла aod, угол cok=118 градусов. найдите величину угла bod 3) на луче с началом в точке a отмечены точки. b и c. известно, что ac=7.8 градусов. какую же длину может иметь отрезок ab 4) один из смежных углов в 4 раза меньше другого. найдите углы, которые образует биссектриса меньшего угла со сторонами большего угла

👇
Ответ:
03.11.2021
1. Пусть а и в - искомые углы, из которых "в" - меньший, тогда......
2, 4. Дано напишите по рисункам...
пятое фото - это пояснение к заданию 1.

Соформлением дано; пусть 1) разность двух углов, образовавшихся при пересечении двух прямых, равна
Соформлением дано; пусть 1) разность двух углов, образовавшихся при пересечении двух прямых, равна
Соформлением дано; пусть 1) разность двух углов, образовавшихся при пересечении двух прямых, равна
Соформлением дано; пусть 1) разность двух углов, образовавшихся при пересечении двух прямых, равна
Соформлением дано; пусть 1) разность двух углов, образовавшихся при пересечении двух прямых, равна
4,8(3 оценок)
Открыть все ответы
Ответ:
лера1231231
лера1231231
03.11.2021
Пусть M — середина AB, а C′ — основание высоты, опущенной из точки C на сторону AB. Пусть E — середина отрезка CH, где H— ортоцентр треугольника ABС. Искомый угол равен удвоенному углу MEH, поскольку ∠MEН является вписанным углом, опирающимся на рассматриваемый в задаче отрезок. Пусть O— центр описанной окружности треугольника ABC. Поскольку CE=CH/2=OM, причем CE и OM параллельны, то четырехугольник OMECявляется параллелограммом. Отсюда следует, что ∠MEC′=∠OCН. Известно, что ∠OCH=|∠A−∠B|. Этот угол легко считается, если использовать тот факт, что ∠OCA=90∘−∠AOC/2=90∘−∠B=∠HCB, а также, что ∠C=180∘−∠A−∠В. Тогда искомый угол равен 80
4,5(33 оценок)
Ответ:
arturkill12309
arturkill12309
03.11.2021
Построить касательную к данному кругу:
 а) параллельную данной прямой.
Из центра окружности опустить перпендикуляр на данную прямую.
Он пересечёт окружность в точке касания.
Через полученную точку провести прямую, перпендикулярную построенному перпендикуляру к данной прямой.
Эта прямая будет параллельна данной прямой.

б) перпендикулярную к данной прямой.
Из центра окружности опустить перпендикуляр на данную прямую.
Из центра окружности восстановить перпендикуляр к построенному перпендикуляру.
Он пересечёт окружность в точке касания.
Через полученную точку провести прямую, перпендикулярную к данной прямой.
Эта прямая и будет перпендикулярна данной прямой.

в) под данным острым углом к прямой.
В любой точке данной прямой построить прямую под заданным к ней углом.
Затем по пункту а) построить параллельную касательную прямую.
Как построить касательную к данному кругу: а) параллельную данной прямой; б) перпендикулярную к данн
4,5(75 оценок)
Это интересно:
Новые ответы от MOGZ: Геометрия
logo
Вход Регистрация
Что ты хочешь узнать?
Спроси Mozg
Открыть лучший ответ