М
Молодежь
К
Компьютеры-и-электроника
Д
Дом-и-сад
С
Стиль-и-уход-за-собой
П
Праздники-и-традиции
Т
Транспорт
П
Путешествия
С
Семейная-жизнь
Ф
Философия-и-религия
Б
Без категории
М
Мир-работы
Х
Хобби-и-рукоделие
И
Искусство-и-развлечения
В
Взаимоотношения
З
Здоровье
К
Кулинария-и-гостеприимство
Ф
Финансы-и-бизнес
П
Питомцы-и-животные
О
Образование
О
Образование-и-коммуникации
makel200005
makel200005
28.04.2020 01:51 •  Геометрия

Разность оснований трапеции равна 6 см,а высота трапеции равна 8 см.найдите основание трапеции,если ее площадь равна 56 см

👇
Ответ:
sogoyan2016
sogoyan2016
28.04.2020
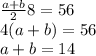
Назовем основания a и b..
Тогда площадь трапеции
\frac{a+b}{2}8=56 \\ 4(a+b)=56 \\ a+b= 14
Получим следующую систему уравнений
\left \{ {{a+b=14} \atop {a-b=6}} \right. \\ \left \{ {{a=6+b} \atop {6+b+b=14}} \right. \\ \left \{ {{a=6+b} \atop {2b=8}} \right. \\ \left \{ {{b=4} \atop {a=6+4=10}} \right.
4,4(88 оценок)
Открыть все ответы
Ответ:
masha90876
masha90876
28.04.2020
Отличительной чертой художника николая николаявча ге, была его любовь к людям.во всяком человеке он находил, хорошую сторону.если он работал и к нему приходил кто-нибудь за советом или с просьбой, он тотчас же бросал работу и отдавал всё своё внимание посетителю, как бы скучен и неинтересен он ни был.                                                                         у ге был удивительный дар влиять на людей, заставить себя слушать, и найти с каждым человеком те точки сопрекасновения,на которых не могло бы быть разногласия. он прекрасно говорил, всегда вкладывал всю душу в свои слова. некоторых приводила в недоумение, а иногда и раздрожала манера,сразу становится( без мягкого знака) в возможно близкие отношения при первой же встрече.                                к деньгам ге относился совершенно равнодушно. если у него покупали картину или портрет, он радовался этому главным образом, потому что это было признаком оценки его работы.
4,4(71 оценок)
Ответ:
TimGoPro
TimGoPro
28.04.2020
Отличительной чертой художника николая николаявча ге, была его любовь к людям.во всяком человеке он находил, хорошую сторону.если он работал и к нему приходил кто-нибудь за советом или с просьбой, он тотчас же бросал работу и отдавал всё своё внимание посетителю, как бы скучен и неинтересен он ни был.                                                                         у ге был удивительный дар влиять на людей, заставить себя слушать, и найти с каждым человеком те точки сопрекасновения,на которых не могло бы быть разногласия. он прекрасно говорил, всегда вкладывал всю душу в свои слова. некоторых приводила в недоумение, а иногда и раздрожала манера,сразу становится( без мягкого знака) в возможно близкие отношения при первой же встрече.                                к деньгам ге относился совершенно равнодушно. если у него покупали картину или портрет, он радовался этому главным образом, потому что это было признаком оценки его работы.
4,6(56 оценок)
Это интересно:
Новые ответы от MOGZ: Геометрия
logo
Вход Регистрация
Что ты хочешь узнать?
Спроси Mozg
Открыть лучший ответ