М
Молодежь
К
Компьютеры-и-электроника
Д
Дом-и-сад
С
Стиль-и-уход-за-собой
П
Праздники-и-традиции
Т
Транспорт
П
Путешествия
С
Семейная-жизнь
Ф
Философия-и-религия
Б
Без категории
М
Мир-работы
Х
Хобби-и-рукоделие
И
Искусство-и-развлечения
В
Взаимоотношения
З
Здоровье
К
Кулинария-и-гостеприимство
Ф
Финансы-и-бизнес
П
Питомцы-и-животные
О
Образование
О
Образование-и-коммуникации
spirt708ozrmv0
spirt708ozrmv0
20.10.2022 21:34 •  Геометрия

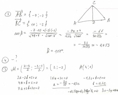
Дано координати вершин трикутника авс. знайти: а) довжину сторони ав б)рівняння сторін ав і вс в)величину кута в г) рівняння висоти сd д) рівняння медіани ам е) координати точки к перетину медіани ам з висотою сd ж)рівняння прямої, що проходить через точку к паралельно стороні ав з) відстань від точки с до прямої ав а(4,1), в(-3,-1), с(7,-3)

👇
Ответ:
dilaratristarimir
dilaratristarimir
20.10.2022

надеюсь будет понятно...


Дано координати вершин трикутника авс. знайти: а) довжину сторони ав б)рівняння сторін ав і вс в)вел
4,4(43 оценок)
Открыть все ответы
Ответ:
maximstrekalovs
maximstrekalovs
20.10.2022

ответ: Ѕ=3√3 м²

Объяснение:  В правильной треугольной пирамиде  основанием является правильный треугольник, а вершина проецируется в центр основания.

  Обозначим основание пирамиды АВС, её   вершину  К. проекцию вершины  на основание- Н, апофему на грани АКС - КМ.

Искомое сечение - КВМ, которое содержит высоту пирамиды КН, перпендикулярную основанию, ⇒  плоскость ∆ КВМ перпендикулярна АВС, а ВМ и КМ перпендикулярны АС по т.о 3-х перпендикулярах.

   КВМ - треугольник. Формула площади треугольника

S=h•a•1/2, где а - сторона треугольника, h- высота, проведенная к ней.

Ѕ(КВМ)=KH•ВМ/2

Все стороны основания равны 6, углы -60°

ВМ=ВС•sin60°=3√3

  По т.Пифагора апофема KM=√(AK²-AM²)=√(16-9)=√7

Высоты правильного треугольника - медианы и точкой пересечения делятся в отношении 2:1, считая от вершины. ⇒ МН=ВМ:3=√3

По т.Пифагора KH=√(KM²-MH²)=√(7-3)=√4=2

S(KBM)=3√3•2•1/2=3√3 м²


Сторона основания правильной треугольной пирамиды равна 6 м, а боковое ребро — 4 м. Найдите площадь
4,8(27 оценок)
Ответ:
НастяФем
НастяФем
20.10.2022

1/20

Объяснение:

Свойства сечения, параллельного основанию пирамиды:

Если пирамиду пересекает плоскость, параллельная основанию, то

1. Плоскость делит боковое ребро и высоту пирамиды на пропорциональные отрезки;

2. В сечении образуется многоугольник, подобный многоугольнику основания;

3. Площади сечения и основания относятся как квадраты расстояний от них до вершины пирамиды.

Отношение площадей равно 9/3600

√(9/3600)=3/60=1/20  -  отношение расстояний от сечений до вершины пирамиды (расстояния в данном случае - это и есть высоты)

4,4(13 оценок)
Это интересно:
Новые ответы от MOGZ: Геометрия
logo
Вход Регистрация
Что ты хочешь узнать?
Спроси Mozg
Открыть лучший ответ