М
Молодежь
К
Компьютеры-и-электроника
Д
Дом-и-сад
С
Стиль-и-уход-за-собой
П
Праздники-и-традиции
Т
Транспорт
П
Путешествия
С
Семейная-жизнь
Ф
Философия-и-религия
Б
Без категории
М
Мир-работы
Х
Хобби-и-рукоделие
И
Искусство-и-развлечения
В
Взаимоотношения
З
Здоровье
К
Кулинария-и-гостеприимство
Ф
Финансы-и-бизнес
П
Питомцы-и-животные
О
Образование
О
Образование-и-коммуникации
Алишер00001
Алишер00001
21.03.2021 07:54 •  Геометрия

Концы данного отрезка длинной в 125 см отстоят от плоскости на 100 см и 56 см. найти длину его проекции. нарисуйте рисунок пож

👇
Ответ:
Electron57
Electron57
21.03.2021
Смотрим картинго:
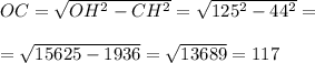
АВ - отрезок, длиной 125 см, ОС - проекция отрезка АВ на плоскость, АО=56 см, ВС=100 см.
Делаем параллельный перенос АВ на 56 см (по рисунку - "вниз"), до совмещения точки А с точкой О. Получим параллелограмм АВНО, АО=ВН=56 см, АВ=ОН=125 см.
Далее всего два действия - вычитание и теорема Пифагора:

CH=BC-BH=100-56=44

OC= \sqrt{OH^2-CH^2}=\sqrt{125^2-44^2}=\\\\= \sqrt{15625-1936}= \sqrt{13689}=117

Концы данного отрезка длинной в 125 см отстоят от плоскости на 100 см и 56 см. найти длину его проек
4,5(11 оценок)
Открыть все ответы
Ответ:
LadyWolf123456789
LadyWolf123456789
21.03.2021

Объяснение:

Школьные Знания.com

Какой у тебя вопрос?

Избавься от ограничений

ПОПРОБУЙ ЗНАНИЯ ПЛЮС СЕГОДНЯ

kepchonok

kepchonok

16.06.2013

Геометрия

5 - 9 классы

+5 б.

ответ дан

Сколько сторон имеет выпуклый многоугольник,каждый угол которого равен: а) 90 градусов б) 60 градусов в) 120 градусов г) 108 градусов? с объяснением пож.)

1

СМОТРЕТЬ ОТВЕТ

Войди чтобы добавить комментарий

ответ, проверенный экспертом

4,2/5

598

Матов

главный мозг

7.3 тыс. ответов

2.6 млн пользователей, получивших

Сумма углов n-угольника равна 180°(n-2) где n - число сторон!

180°(n-2)=90n решаем уравнение

n=4 (то есть четырехугольник)

180°(n-2)=60n

n=3 треуголльник

180°(n-2)=120n

n=6 ( шестиугольник)

180°(n-2)=108 n

n=5 (пятиугольник)

4,8(5 оценок)
Ответ:
kolobok2000
kolobok2000
21.03.2021
Геометрия алгебре Лучше один раз увидеть, чем сто раз услышать. Пословица. Анри Пуанкаре сказал, что математика — это искусство называть разные вещи одина- ковыми именами. Осмелимся добавить: а одинаковые вещи — разными именами. То есть один и тот же объект можно описывать на разных языках, видеть разными глазами. При этом непонятное ранее утверждение может стать очевидным, а к сложной задаче может отыскаться лёгкое решение. На школьном уровне эта идея обычно реализуется как перевод на язык алгебры арифме- тических задач (текстовые задачи решают с уравнений) и геометрических задач (координатный и векторный методы). Такой перевод позволяет алгоритмизировать реше- ние задач. Заметим, что алгоритмизация не всегда полезна: не нужно ничего изобретать, решение идёт по накатанной схеме. “Решать с уравнений задачу, допускающую простое арифметическое решение, безнравственно.” [1, с. 46] Менее известны другие случаи, когда арифметические и алгебраические задачи удобно решать на геометрическом языке. Таким примерам и посвящена эта статья. Доказать значит сделать очевидным Ключевые факты полезно формулировать на разных языках, чтобы каждый ученик усваивал их на свойственном ему языке. Для многих вовремя показанная картинка может раз и навсегда навести ясность и от типичных ошибок. 1. Переместительный закон сложения для положительных чисел можно пояснять так: поезд проехал a км от Москвы до Твери и b км от Твери до Петербурга. На обратном пути он проехал те же расстояния в обратном порядке, и общий путь был тот же самый. Значит, a + b = b + a. Переместительный закон сложения для целых чисел хорошо пояснять с дви- жения лифта. Например, (+3) + (−5) означает, что лифт поехал сначала на 3 этажа вверх, а потом на 5 вниз. А (−5) + (+3) означает, что лифт сначала поехал на 5 этажей вниз, а потом на 3 вверх. Ясно, что в итоге он переместился на одно и то же число этажей в одну и ту же сторону3. Тот же Пуанкаре говорил, что научиться складывать дроби можно двумя разрезая яблоки и . . . разрезая пироги. В статье и на доске проще резать прямоугольники (“шоколадки”), но суть будет та жеСпросите пятиклассника, чему равен квадрат суммы — и он наверняка ответит “сумме квадратов”. Переубедить его проще всего с картинки 6: считаем площадь боль- шого квадрата двумя Говорят, когда Руссо учился в школе, его убедило только такое доказательство. Можно придумать картинки для доказательства разложения квад- рата суммы трёх слагаемых, для разности квадратов и даже для куба суммы [2]. Правда, последнее является скорее тренировкой пространственного воображения, но это тоже по- лезно. 5. Формула для производной произведения двух функций, как и формула суммы квад- ратов, не принадлежит к числу интуитивно ясных: хочется по аналогии с производнойсуммы сказать “равна произведению производных”. В эту ловушку попался сначала да- же. . . Лейбниц, один из создателей дифференциального исчисления.
4,6(79 оценок)
Это интересно:
Новые ответы от MOGZ: Геометрия
logo
Вход Регистрация
Что ты хочешь узнать?
Спроси Mozg
Открыть лучший ответ