М
Молодежь
К
Компьютеры-и-электроника
Д
Дом-и-сад
С
Стиль-и-уход-за-собой
П
Праздники-и-традиции
Т
Транспорт
П
Путешествия
С
Семейная-жизнь
Ф
Философия-и-религия
Б
Без категории
М
Мир-работы
Х
Хобби-и-рукоделие
И
Искусство-и-развлечения
В
Взаимоотношения
З
Здоровье
К
Кулинария-и-гостеприимство
Ф
Финансы-и-бизнес
П
Питомцы-и-животные
О
Образование
О
Образование-и-коммуникации
Влад32321
Влад32321
24.10.2020 15:47 •  Геометрия

Вравнобедренном треугольнике высота, проведенная к основанию, равна 32см, а радиусы вписанной и описанной окружностей соответственно равны 12см и 25см. вычислите стороны треугольника

👇
Ответ:
аня2934
аня2934
24.10.2020

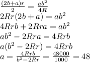
S=pr=\frac{(2b+a)r}{2}

S=\frac{ab^2}{4R}

S=\frac{1}{2}a*h

-------------

\frac{ab^2}{4R}=\frac{1}{2}ah\\b^2=2hR=2*32*25=8^2*5^2\\b=8*5=40

-----------------

\frac{(2b+a)r}{2}=\frac{ab^2}{4R}\\ 2Rr(2b+a)=ab^2\\4Rrb+2Rra=ab^2\\ab^2-2Rra=4Rrb\\a(b^2-2Rr)=4Rrb\\a=\frac{4Rrb}{b^2-2Rr}=\frac{48000}{1000}=48

ответ бок сторона=40 см основание 48 см

4,8(58 оценок)
Открыть все ответы
Ответ:
permyakov2001
permyakov2001
24.10.2020
Длина окр:
2пr = 8п
2r=8п:п
2r =8
r=4-рдиус вписан. окр.
S впис. окр = пr2
S=3,14*4*4= 50,24 - плозадь впис окр.
Плозадь окр, опис. вокруг правильного треуг. в 4 раза больше
S опис. окр. =50,24*4=200,96
S кольца = S опис. окр.- S впис. окр.
S кольца= 200,96- 50,24= 150,72
В треуг ABCD проведем медеаны,AD,BK,CM.
S треуг. ABCD 1/2 AC*BK,    1/2 AC=KC
Медиана треуг. впис окр. делится в отношении 2:1
Поэтому высота BK=R+r=8+4=12
S=12*KC
Найдем KC - сторону треуг. KOC, KC-касат.,OC=R=8-гипотинуза, другой катет ОK=r=4
KC2=OC2+OK2
KC-корень  из 8*8-4*4= корень из 48= 6,92
Sтреуг. ABC=12*6,92=83,04
Прости,но без рисунка.
4,4(97 оценок)
Ответ:
Nellity
Nellity
24.10.2020
Длина окр:
2пr = 8п
2r=8п:п
2r =8
r=4-рдиус вписан. окр.
S впис. окр = пr2
S=3,14*4*4= 50,24 - плозадь впис окр.
Плозадь окр, опис. вокруг правильного треуг. в 4 раза больше
S опис. окр. =50,24*4=200,96
S кольца = S опис. окр.- S впис. окр.
S кольца= 200,96- 50,24= 150,72
В треуг ABCD проведем медеаны,AD,BK,CM.
S треуг. ABCD 1/2 AC*BK,    1/2 AC=KC
Медиана треуг. впис окр. делится в отношении 2:1
Поэтому высота BK=R+r=8+4=12
S=12*KC
Найдем KC - сторону треуг. KOC, KC-касат.,OC=R=8-гипотинуза, другой катет ОK=r=4
KC2=OC2+OK2
KC-корень  из 8*8-4*4= корень из 48= 6,92
Sтреуг. ABC=12*6,92=83,04
Прости,но без рисунка.
4,5(42 оценок)
Это интересно:
Новые ответы от MOGZ: Геометрия
logo
Вход Регистрация
Что ты хочешь узнать?
Спроси Mozg
Открыть лучший ответ