М
Молодежь
К
Компьютеры-и-электроника
Д
Дом-и-сад
С
Стиль-и-уход-за-собой
П
Праздники-и-традиции
Т
Транспорт
П
Путешествия
С
Семейная-жизнь
Ф
Философия-и-религия
Б
Без категории
М
Мир-работы
Х
Хобби-и-рукоделие
И
Искусство-и-развлечения
В
Взаимоотношения
З
Здоровье
К
Кулинария-и-гостеприимство
Ф
Финансы-и-бизнес
П
Питомцы-и-животные
О
Образование
О
Образование-и-коммуникации
Valyshka11
Valyshka11
03.10.2022 08:23 •  Геометрия

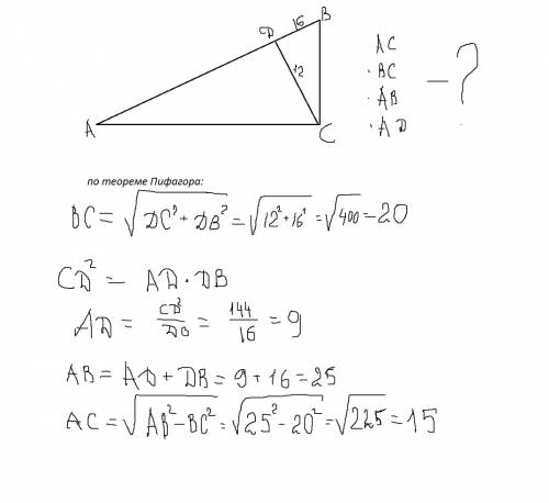
Впрямоугольном треугольнике abc с гипотенузой ав. высота cd=12см,bd=16 см. найти ac,вс,ав,аd

👇
Ответ:
itskova310181
itskova310181
03.10.2022
Решение в приложенном файле

Впрямоугольном треугольнике abc с гипотенузой ав. высота cd=12см,bd=16 см. найти ac,вс,ав,аd
4,4(93 оценок)
Открыть все ответы
Ответ:
ShipunovaDaria
ShipunovaDaria
03.10.2022

так как средняя линия равна полусумме оснований то надо найти второе (большее основание), для этого проведем высоту из тупого угла к большему основанию. она отсечет от трапеции прямоугольник, то есть одна из частей разделенного высотой большего основания равна 10. найдем второй кусок большего основания дл я этого рассмотрим прямоугольный треугольник который образовала большая боковая сторона и высота. т.к один из острых углов в прямоугольном треугольнике равен 60 градусам, то 2ой угол равен 90-60=30 градусов. так каак в прямоугольном треугольнике катет лежащий против угла в 30 градусов (а это и есть нужный нам второй кусок большего основания) равен половине гипотенузы, то он равен 8/2=4. тогда большее основание равно сумме двух кусков то есть 10+4=14. средняя линия равна полусумме оснований, то есть (10+14)/2=24/2=12.

ответ:12.

p.s понимаю что на словах ничего не понятно поэтому вложен рисунок.


Впрямоугольной трапеции меньшее основание равно 10, большая боковая сторона равна 8. острый угол рав
4,7(59 оценок)
Ответ:
Dashad27
Dashad27
03.10.2022

Объем конуса находят по формуле: V = 1/3 · Sосн · H, где Sосн - площадь основания, H - высота. В основании - круг, Sосн = πR², где R - радиус основания.

Пусть дан конус (см. рис.) . SО - высота, SВ - образующая, ОВ - радиус. По условию SО : SВ = 4 : 5 и V = 96π см³.

ΔSОВ - прямоугольный. Если принять, что SО = (4х) см, SВ = (5х) см, то по теореме Пифагора ОВ² = SВ² - SО² = (5х)² - (4х)² = 25х² - 16х² = 9х², откуда, учитывая, что длины сторон положительны, ОВ = 3х (см).

Подставляем полученные выражения в формулу объема:

V = 1/3 · πR² · H = 1/3 · π · ОВ² · SО = 1/3 · π · (3х)² · 4х = 12πх³ = 96π, т.е.

12πх³ = 96π,

х³ = 8,

х = 2.

Тогда ОВ = 3 · 2 = 6 (см), SB = 5 · 2 = 10 (см).

Площадь полной поверхности конуса равна:

Sполн = Sосн + Sбок = πR² + πRL = πR(R + L), где R - радиус основания, L - образующая конуса.

Значит, Sполн = π · ОВ · (ОВ + SВ) = π · 6 · (6 + 10) = 6π · 16 = 96π (см²).

ответ: 96 см².


Высота и образующая конуса относятся как 4: 5 , а объем конуса равен 96п см^3. найдите площадь полно
4,5(17 оценок)
Это интересно:
Новые ответы от MOGZ: Геометрия
logo
Вход Регистрация
Что ты хочешь узнать?
Спроси Mozg
Открыть лучший ответ