М
Молодежь
К
Компьютеры-и-электроника
Д
Дом-и-сад
С
Стиль-и-уход-за-собой
П
Праздники-и-традиции
Т
Транспорт
П
Путешествия
С
Семейная-жизнь
Ф
Философия-и-религия
Б
Без категории
М
Мир-работы
Х
Хобби-и-рукоделие
И
Искусство-и-развлечения
В
Взаимоотношения
З
Здоровье
К
Кулинария-и-гостеприимство
Ф
Финансы-и-бизнес
П
Питомцы-и-животные
О
Образование
О
Образование-и-коммуникации

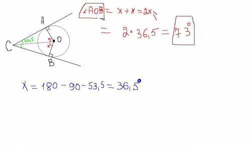
Вугол с величиной 107 вписана окружность, которая касается сторон угла в точка a и b найдите угол aob

👇
Ответ:
vasapipkin934
vasapipkin934
22.10.2020
Вот решение с рисунком
Вугол с величиной 107 вписана окружность, которая касается сторон угла в точка a и b найдите угол ao
4,6(75 оценок)
Открыть все ответы
Ответ:
DmitriyTF2
DmitriyTF2
22.10.2020

Объяснение: До трудових ресурсів відносять три категорії осіб. Основна категорія - це населення працездатного віку, крім інвалідів І і II груп, котрі не працюють. Друга категорія - задіяне у господарстві населення, молодше працездатного віку. За українським законодавством повний робочий день можуть працювати особи, які досягли 16-річного віку, виконувати певні види робіт упродовж неповного робочого дня дозволено з 14-ти років. Третя категорія - задіяне у господарстві населення, старше працездатного (пенсійного) віку. не могу сказать на второй во все нужны

4,8(95 оценок)
Ответ:
Andreyко
Andreyко
22.10.2020

а) Из условия имеем, что точка пересечения высот лежит на FD. Это может быть только если тр-к DFE - прямоугольный, угол F = 90 гр.

Найдем катет FD:

FD = кор(17^2 - 8^2) = 15

Площадь: S = 8*15/2 = 60

б) Из условия имеем, что DK - и биссектриса и медиана. Значит DEF - равнобедренный. DF = DE = 17,  EF = 8

Полупериметр: р = (8+17+17)/2 = 21

Площадь:

S = кор(21*13*4*4) = 4кор273 (примерно 66)

в) Из условия имеем, что биссектриса DK является еще и срединным перпендикуляром. Значит треугольник DEF - равнобедренный. DE= DF=17

Далее решение аналогично п.2.

ответ: 4кор273 = 66 (примерно).

 

P.S. В 1)  и  2) мы воспользовались тем, что прямая и точка, не прин. этой прямой - задают плоскость и притом только одну. Если же говорят о 2 и более  плоскостях, значит точка лежит на этой прямой. В 3) мы воспользовались утверждением, что прямая может пересечь плоскость только в одной точке.

4,7(6 оценок)
Это интересно:
Новые ответы от MOGZ: Геометрия
logo
Вход Регистрация
Что ты хочешь узнать?
Спроси Mozg
Открыть лучший ответ