М
Молодежь
К
Компьютеры-и-электроника
Д
Дом-и-сад
С
Стиль-и-уход-за-собой
П
Праздники-и-традиции
Т
Транспорт
П
Путешествия
С
Семейная-жизнь
Ф
Философия-и-религия
Б
Без категории
М
Мир-работы
Х
Хобби-и-рукоделие
И
Искусство-и-развлечения
В
Взаимоотношения
З
Здоровье
К
Кулинария-и-гостеприимство
Ф
Финансы-и-бизнес
П
Питомцы-и-животные
О
Образование
О
Образование-и-коммуникации
NoraDun
NoraDun
25.04.2020 06:57 •  Геометрия

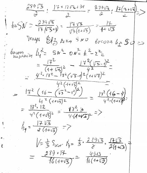
Восновании пирамиды лежит прямоугольный треугольник с острым углом в 30°, а наибольшая сторона равна 17 см. боковые ребра пирамиды образуют с плоскостью основания угол 60°. найти объем пирамиды.

👇
Ответ:
2Velial1
2Velial1
25.04.2020
Наверняка есть попроще, но туплю сегодня

Восновании пирамиды лежит прямоугольный треугольник с острым углом в 30°, а наибольшая сторона равна
Восновании пирамиды лежит прямоугольный треугольник с острым углом в 30°, а наибольшая сторона равна
4,6(79 оценок)
Ответ:
coolmeen
coolmeen
25.04.2020
Решение во вложении--------------------------
Восновании пирамиды лежит прямоугольный треугольник с острым углом в 30°, а наибольшая сторона равна
4,7(29 оценок)
Открыть все ответы
Ответ:
an121759
an121759
25.04.2020
В красном прямоугольном треугольнике один катет равен 5/2, гипотенуза равна 5, т.к. один угол равен 30°
Второй, горизонтальный катет равен 5*cos(30°) = 5√3/2 = 5/2*√3
Боковая сторона коробки
a = 2*(5/2*√3) + 5 = 5 + 5√3 см
площадь одного основания призмы
S₁ = 1/2*a*a*sin(60°) = 1/2*(5 + 5√3)² * √3/2 = √3/4 * (25 +50√3 + 75) =
= √3/4*(100 + 50√3) = 75/2 + 25√3 см²
периметр основания
P = 3a
Высота коробки
h = 5 см
боковая поверхность
S₂ = P*h = 15a = 15*(5 + 5/2*√3) = 75 + 75√3 см²
И полная поверхность
S = 2*S₁ + S₂ = 2*(75/2 + 25√3) + 75 + 75√3 = 150 + 125√3 см²

Вкоробку, имеющую форму правильной треугольной призмы, положили три мяча диаметром 5 см так, что они
4,6(93 оценок)
Ответ:
макс10106
макс10106
25.04.2020
По свойству касательных к окружности обозначим отрезки от вершины до точки касания, равными 4х и 5х.
Проведём высоту трапеции из вершины верхнего основания на нижнее.
Получим прямоугольный треугольник с катетами, равными 6 и (5х + 4х = х).
Гипотенуза (это наклонная боковая сторона трапеции) равна 5х + 4х = 9х.
По Пифагору (9х)² = 6² + х².
81х² = 36 + х².
80х² = 36.
20х² = 9.
х = √(9/20) = 3/(2√5) = 3√5/10.
Средняя линия Lср трапеции равна 3 + ((4х + 5х)/2) = 3 + (9х/2).
Подставим значение х:
Lср = 3 + (27√5/20) ≈  6,018692.

Тогда искомая площадь S трапеции равна:
S = 6*Lср = 6*(3 + (27√5/20)) =  18 + (81√5/10) ≈  36,11215 кв.ед.
Радиус вписанной окружности в прямоугольную трапецию равен 3. точка касания окружности делит боковую
4,7(42 оценок)
Это интересно:
Новые ответы от MOGZ: Геометрия
logo
Вход Регистрация
Что ты хочешь узнать?
Спроси Mozg
Открыть лучший ответ