М
Молодежь
К
Компьютеры-и-электроника
Д
Дом-и-сад
С
Стиль-и-уход-за-собой
П
Праздники-и-традиции
Т
Транспорт
П
Путешествия
С
Семейная-жизнь
Ф
Философия-и-религия
Б
Без категории
М
Мир-работы
Х
Хобби-и-рукоделие
И
Искусство-и-развлечения
В
Взаимоотношения
З
Здоровье
К
Кулинария-и-гостеприимство
Ф
Финансы-и-бизнес
П
Питомцы-и-животные
О
Образование
О
Образование-и-коммуникации
SuperMax2003rus
SuperMax2003rus
27.08.2020 08:07 •  Геометрия

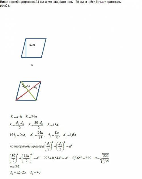
Висота ромба дорівнює 24 см, а менша діагональ - 30 см. знайти більшу діагональ ромба.

👇
Ответ:
antonenko62
antonenko62
27.08.2020
Решение во вложении-----------------------------
Висота ромба дорівнює 24 см, а менша діагональ - 30 см. знайти більшу діагональ ромба.
4,6(12 оценок)
Открыть все ответы
Ответ:
Anorwen
Anorwen
27.08.2020
Окружность = 360°
1) 5+4 =9 столько частей в этих 360°
Меньшая дуга 360:9*4=40°*4=160°
Градусная величина этой дуги соответствует величине центрального угла ( на рисунке 1 это угол АОВ). 
Вписанный угол АСВ  равен половине центрального угла. 
160°:2=80° - под этим углом видна хорда из  любой точки на дуге АСВ
Если точку взять  на дуге по другую сторону хорды, то угол, под которым она будет видна, равен 
360°:9*5:2=100°. Но обычно имеется в виду острый угол. 
------------
2) 7+3=10 столько частей в двух дугах. 
360°:10*3=108° содержит центральный угол КОМ ( второй рисунок)
Вписанный угол МЕК равен половине градусной меры центрального угла. 
108°:2=54° - под этим углом видна вторая хорда. 
(Или, если точка расположена по другую сторону хорды, 
360:10*7:2=126°)
Хорда делит окружность на две дуги градусные величины которых относятся как 1) 5: 4 2) 7: 3. под как
4,7(55 оценок)
Ответ:
WWW2014
WWW2014
27.08.2020

Определение: "Углом между плоскостью и не перпендикулярной ей прямой называется угол между этой прямой и ее проекцией на данную плоскость".

Опустим перпендикуляр С1Н на прямую СD1, лежащую в плоскости А1ВС (это плоскость А1ВСD1, так как секущая плоскость пересекает параллельные плоскости АА1В1В и DD1C1C по параллельным прямым А1В и D1C). Отрезок С1Н перпендикулярен любой прямой, проходящей через точку Н, лежащую в данной плоскости (свойство). Значит <C1HB=90° и искомый угол - это угол С1ВН - угол между наклонной ВС1 м ее проекцией ВН на плоскость А1ВС. В прямоугольном треугольнике С1ВН: синус угла С1ВН - это отношение противолежащего катета С1Н к гипотенузе ВС1.

По Пифагору D1C=√(D1C1²+CC1²) = √(36+64) = 10 ед (так как АВ=D1C1, a AA1=CC1, как боковые ребра параллелепипеда.

Точно так же ВС1=√(ВC²+CC1²) = √(225+64) = 17 ед.

Высота С1Н из прямого угла по ее свойству равна:

С1Н=(С1D1*CC1/D1C = 6*8/10 = 4,8 ед.

Тогда Sinα = C1H/BC1 = 4,8/17 ≈ 0,2823.

α = arcsin0,2823 ≈ 16,4°.


Впрямоугольном параллелепипеде abcda1b1c1d1 найдите угол между плоскостью a1bc и прямой bc1, если aa
4,6(64 оценок)
Это интересно:
Новые ответы от MOGZ: Геометрия
logo
Вход Регистрация
Что ты хочешь узнать?
Спроси Mozg
Открыть лучший ответ