М
Молодежь
К
Компьютеры-и-электроника
Д
Дом-и-сад
С
Стиль-и-уход-за-собой
П
Праздники-и-традиции
Т
Транспорт
П
Путешествия
С
Семейная-жизнь
Ф
Философия-и-религия
Б
Без категории
М
Мир-работы
Х
Хобби-и-рукоделие
И
Искусство-и-развлечения
В
Взаимоотношения
З
Здоровье
К
Кулинария-и-гостеприимство
Ф
Финансы-и-бизнес
П
Питомцы-и-животные
О
Образование
О
Образование-и-коммуникации
п152
п152
06.08.2020 21:37 •  Геометрия

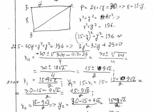
Периметр прямоугольника равен 30 а диагональ 14 найдите площадь

👇
Ответ:
MrMike1
MrMike1
06.08.2020
Решение в скане............

Периметр прямоугольника равен 30 а диагональ 14 найдите площадь
4,8(4 оценок)
Открыть все ответы
Ответ:
LIONVIP
LIONVIP
06.08.2020

Углы AOC и FOD равны как вертикальные. Треугольники CAO и DFO равны по стороне и прилежащим углам. В равных треугольниках против равных углов лежат равные стороны, CO=DO. Треугольники CBO и DEO равны по трем сторонам. В равных треугольниках против равных сторон лежат равные углы, ∠CBO=∠DEO.

AO=FO, ∠A=∠F (по условию), ∠AOC=∠FOD (вертикальные углы)

=> △CAO=△DFO (по стороне и прилежащим углам)

=> CO=DO (соответствующие стороны в равных треугольниках)

CB=DE, BO=EO (по условию)

=> △CBO=△DEO (по трем сторонам)

=> ∠CBO=∠DEO (соответствующие углы в равных треугольниках)

4,5(39 оценок)
Ответ:
балуева2007
балуева2007
06.08.2020
1) Четырехугольник -это многоугольник, имеющий 4 вершины.
2) Правильный треугольник - это треугольник у которого все стороны равны(равносторонний).
3)У треугольника три биссек.
4)...если две стороны и угол между ними одного треугольника равны соответственно двум сторонам и углу между ними другого треугольника, то такие треугольники равны.
5)и KM=EG
6) треуг. тупоугольный.
7)Треугольником называется геометрическая фигура состоящая из трех точек не лежащих на одной прямой и трех отрезков, которые соед. эти точки.
8)Квадрат
9)0
10)Если два угла и сторона между ними одного треуг соответ. равны двум углам и стороне между ними другого треуг, то такие треуг равны.
11)E=B
12)треугольник прямоугольный, а два острых угла в сумме дают 90 градусов
4,8(24 оценок)
Это интересно:
Новые ответы от MOGZ: Геометрия
logo
Вход Регистрация
Что ты хочешь узнать?
Спроси Mozg
Открыть лучший ответ