М
Молодежь
К
Компьютеры-и-электроника
Д
Дом-и-сад
С
Стиль-и-уход-за-собой
П
Праздники-и-традиции
Т
Транспорт
П
Путешествия
С
Семейная-жизнь
Ф
Философия-и-религия
Б
Без категории
М
Мир-работы
Х
Хобби-и-рукоделие
И
Искусство-и-развлечения
В
Взаимоотношения
З
Здоровье
К
Кулинария-и-гостеприимство
Ф
Финансы-и-бизнес
П
Питомцы-и-животные
О
Образование
О
Образование-и-коммуникации
vitaly10
vitaly10
20.03.2021 16:13 •  Геометрия

Найдите длины сторон abc с основанием ac, еслиизвестно, что длины его высот an и bmравны соответственно n и m.

👇
Ответ:
Emro
Emro
20.03.2021
Чертеж - во вложении.
Пусть АВ=ВС=х, АС=у (для удобства)
По формуле площади треугольника через высоту S= \frac{1}{2} h*a получаем соотношения:
S_{\Delta}= \frac{1}{2}my;\ S_{\Delta}= \frac{1}{2}nx.
Следовательно, \frac{1}{2}my= \frac{1}{2}nx\ =\ \textgreater \ y= \frac{n}{m}x
По формуле площади треугольника через синус угла S= \frac{1}{2} a*b*sin\ \alpha получаем
S_{\Delta}= \frac{1}{2} xy*sin\ C= \frac{1}{2} x* \frac{n}{m}x *sin\ C= \frac{nx^2}{2m} *sin\ C
Сопоставим площади:
\frac{nx^2}{2m} *sin\ C=\frac{1}{2}nx\ =\ \textgreater \ sin\ C= \frac{m}{x}
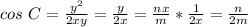
В Δ АВС по теореме косинусов АВ²=ВС²+АС²-2ВС·АС·cos C.
х² = х² + у² - 2ху·cos C
cos\ C= \frac{y^2}{2xy} =\frac{y}{2x} = \frac{nx}{m} * \frac{1}{2x}= \frac{n}{2m}
По основному тригон.тождеству sin²C+cos²C=1. Отсюда
sin^2C=1-cos^2C=1- \frac{n^2}{4m^2} = \frac{4m^2-n^2}{4m^2}
\frac{4m^2-n^2}{4m^2} =\frac{m^2}{x^2} \\ x^2=\frac{4m^4} {4m^2-n^2} \\ x= \sqrt{ \frac{4m^4} {4m^2-n^2} }= \frac{2m^2}{ \sqrt{4m^2-n^2} } =BC=AB.
AC=y= \frac{n}{m} x= \frac{n}{m} *\frac{2m^2}{ \sqrt{4m^2-n^2} } =\frac{2mn}{ \sqrt{4m^2-n^2} } .
Все стороны найдены.
Найдите длины сторон abc с основанием ac, еслиизвестно, что длины его высот an и bmравны соответств
Найдите длины сторон abc с основанием ac, еслиизвестно, что длины его высот an и bmравны соответств
4,4(36 оценок)
Открыть все ответы
Ответ:
Не любая
, а биссектриса к основанию ( а не к боковой стороне) совпадает с высотой и медианой.
 Извините, не прочитал, что в равностороннем. Для равнобедренного рассуждение такое:
Это вытекает из того, что биссектриса делит треугольник на два равных ( по первому признаку, т.е. по двум сторонам и углу между ними). В этих треугольниках напротив равных углов -равные стороны: отрезки на которые биссектриса делит основание. Значит она медиана. Два угла с вершиной на середине основания тоже равны. А так как они смежные т их сумма равна 180 градусам, то и они равны 90 градусам. Значит биссектриса совпадает с высотой
В равностороннем - то же рассуждение для любой стороны.
.
4,4(20 оценок)
Ответ:
Пирамида имеет в основании квадрат или правильный треугольник?

1. поверхность грани 96/4=24  длина стороны основания 24/4=6
апофема равна высоте к стороне основания, апофему обозначим а

0,5*6*а=24    а=24/3=8

2. поверхность 96/3=32   сторона основания 24/3=8
0,5*8*а=32   а=32/4=8

видим равенство апофем, более детально -
пусть n боковых граней, s = 96/n   сторона основания 24/n
0.5*24/n*a=96/n    12a=96   a=8

видим, что можно дать другие числа, а не 96 и 24 и  посчитать апофему, она не будет зависеть от числа сторон правильной пирамиды, а только от конкретных значений площади боковых граней и периметра основания.
4,7(100 оценок)
Это интересно:
Новые ответы от MOGZ: Геометрия
logo
Вход Регистрация
Что ты хочешь узнать?
Спроси Mozg
Открыть лучший ответ