М
Молодежь
К
Компьютеры-и-электроника
Д
Дом-и-сад
С
Стиль-и-уход-за-собой
П
Праздники-и-традиции
Т
Транспорт
П
Путешествия
С
Семейная-жизнь
Ф
Философия-и-религия
Б
Без категории
М
Мир-работы
Х
Хобби-и-рукоделие
И
Искусство-и-развлечения
В
Взаимоотношения
З
Здоровье
К
Кулинария-и-гостеприимство
Ф
Финансы-и-бизнес
П
Питомцы-и-животные
О
Образование
О
Образование-и-коммуникации
iavorskayavika
iavorskayavika
11.12.2021 12:58 •  Геометрия

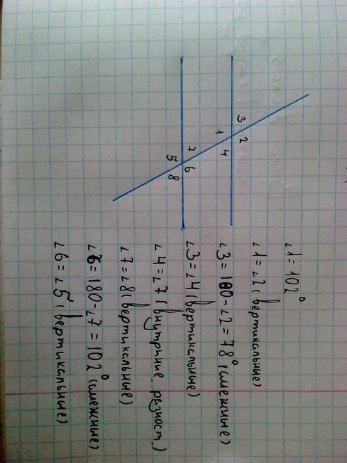
Знайдіть усі кути утворені при перетині двох паралельніх прямих січною якщо один з цих кутів дорівнює 102 градуса

👇
Ответ:
irinaantipina
irinaantipina
11.12.2021
Обращайтесь!)........
Знайдіть усі кути утворені при перетині двох паралельніх прямих січною якщо один з цих кутів дорівню
4,8(88 оценок)
Открыть все ответы
Ответ:
dhkbzdyjnxx
dhkbzdyjnxx
11.12.2021

См. Объяснение

Объяснение:

№ 7

1) ВС = АВ = 10

2) МС = √(ВС² - МВ²) = √(10² - 8²) = √(100 -64) = √36 = 6

3) S АВС = АВ · МС : 2 = 10 · 6 : 2 = 60 : 2 = 30.

ответ: 30.

№ 8

1) Периметр Р треугольника:

13+14+15 = 42

2) Полупериметр p треугольника:

р = Р : 2 = 42 : 2 = 21

3) Площадь треугольника, согласно формуле Герона:

S = √((21 · (21-13)·(21-14)·(21-15)) = √(21·8·7·6) = √7056=84

4) S = 14 · h : 2

84 = 14 · h : 2

168 = 14 · h

h = 168 : 14

h = 12

ответ: h = 12

№ 9

1) Так как СD - AD = 11, то

CD = AD + 11

2) BD² = AB²- AD² = 13² - AD² = 169 - AD²

BD² = BC² - CD² = 20² - (AD + 11)² = 400 - AD² - 22AD -121

169 - AD² = 400 - AD² - 22AD -121

22AD = 400 - 121 - 169 = 110

AD = 110 : 22 = 5

3) CD = AD + 11 = 5 + 11 = 16

4) АС = AD + CD = 5 + 16 = 21

5) BD = √(AB²- AD²) = √(13²-5²) = √(169-25) = √144 = 12

6) S АВС = АС · BD : 2 = 21 · 12 : 2 = 126

ответ: S АВС = 126

№ 10

1) Пусть СМ = МВ = х, тогда СВ = 2х

2) АС² = АВ² - СВ² = 5² - (2х)² = 25 - 4х²

АС² = АМ²-СМ²= (√13)²- х² = 13 -х²

25 - 4х² = 13 -х²

- 4х² + х² = 13 - 25

- 3х² = - 12

х² = 12 : 3 = 4

х = √4 = 2

3) СВ = 2х = 2 · 2 = 4

4) АС = √( АВ² - СВ²) =√(5² - 4²) = √(25-16) =√9 =3

5) S АВС = СВ · АC : 2 = 4 · 3 : 2 = 12 : 2 = 6

ответ: S АВС = 6

4,5(66 оценок)
Ответ:
Kr1c
Kr1c
11.12.2021

Нехай дано ∆ АВС рівнобедрений, АС — основа.

Вписане коло, т. D, E, F — точки дотику. AF = 5 см, BD = 6см

Знайдемо P∆ АВС

OF - радіус вписаного кола, тоді OF _|_ AC.

BF _|_ AC — висота, проведена до основи рівнобедреного ∆ АВС, тоді BF– медіана, AF = FC = 5 см. AC = AF + FC; AC = 5 + 5 = 10 см.

AF = AD = 5 см (як відрізки дотичних, проведених з т. А до кола).

BD = DF = 6 см; СF = CE = 5 см (як відрізки дотичних, проведених

з точок В і С до кола). AB = AD + DB; AB = 5 + 6 = 11 см. AB = ВС = 11 см (∆АВС - рівнобедрений). Р∆авс - АВ + BC + AC;

P∆ABC = 11 + 11 + 10 = 32 см

Відповідь: Р∆ABC 32 см.

все переписуй:)

4,7(100 оценок)
Это интересно:
Новые ответы от MOGZ: Геометрия
logo
Вход Регистрация
Что ты хочешь узнать?
Спроси Mozg
Открыть лучший ответ