М
Молодежь
К
Компьютеры-и-электроника
Д
Дом-и-сад
С
Стиль-и-уход-за-собой
П
Праздники-и-традиции
Т
Транспорт
П
Путешествия
С
Семейная-жизнь
Ф
Философия-и-религия
Б
Без категории
М
Мир-работы
Х
Хобби-и-рукоделие
И
Искусство-и-развлечения
В
Взаимоотношения
З
Здоровье
К
Кулинария-и-гостеприимство
Ф
Финансы-и-бизнес
П
Питомцы-и-животные
О
Образование
О
Образование-и-коммуникации
gulabyan42
gulabyan42
23.03.2021 22:20 •  Геометрия

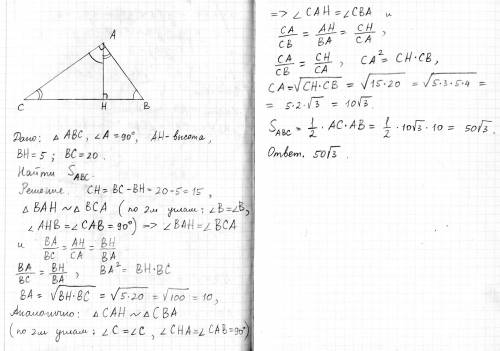
C2 точка н является основанием проведенной высоты, из вершины прямого угла a треугольника авс к гипотенузе вс, причем bh-5, bc-20. найдите площадь треугольника авс.

👇
Ответ:
Rokwe
Rokwe
23.03.2021
На листочке решил, прикрепил...

C2 точка н является основанием проведенной высоты, из вершины прямого угла a треугольника авс к гипо
4,8(81 оценок)
Открыть все ответы
Ответ:
jenja117
jenja117
23.03.2021

диагональ равна 2√13см

Объяснение:

опускаем высоту на большее основание. получаем два прямоугольных треугольника. Если опустим обе высоты,то прекция меньшего основания на большое равна 5 см. оставшиеся 2 см делятся поровну по 1 см около каждой боковой стороны,поскольку тарпеция равнобедренная и углы при основаниях равны.Высоты равны,боковые стороны равны,а угол проитив боковой стороны 90 по построению. оба треугольника при боковых сторонах конгруэнтны, значит стороны треугольника при боковой стороне и высоте равны √17 , 1 и Н по Пифагору получаем

Н²=(√17)² - 1² =17 - 1 =16,    Н=4   Высота 4 см. А от большого основания остается 6 см -катет треугольника ,образованного высотой,диагональю и 6 см от большого основания. Ищем диагональ по Пифагору.

Д²=6²+4²=36+16=52 =4*13  

извлекаем корень и получаем диагональ равна 2√13см

4,6(53 оценок)
Ответ:
AnjelikaM1
AnjelikaM1
23.03.2021
1. Проведем КН⊥DF.  ΔDKF равнобедренный, значит КН - высота и медиана.
DH = HF = 6 см.
КН - проекция наклонной МН на плоскость DKF, значит, МН⊥DF по теореме о трех перпендикулярах.
МН - искомое расстояние.
ΔDKH: ∠KHD = 90°, по теореме Пифагора
KH = √(KD² - HD²) = √(100 - 36) = √64 = 8 (см)

ΔКМН: ∠MKH = 90°, по теореме Пифагора
MH = √(MK² + KH²) = √(225 + 64) = √289 = 17 (см)

2. ВА⊥AD, BA - проекция наклонной В₁А на плоскость основания. Значит, В₁А⊥AD по теореме о трех перпендикулярах.
∠В₁АВ - линейный угол двугранного угла В₁АDB - искомый.

Так как ABCD квадрат, его сторона АВ = АС/√2 = 6 (см)
Δ В₁АВ: ∠В₁ВА = 90°,
cos∠В₁АВ = AB/AВ₁ = 6/(4√3) = √3/2
⇒ ∠В₁АВ = 30°
4,4(38 оценок)
Это интересно:
Новые ответы от MOGZ: Геометрия
logo
Вход Регистрация
Что ты хочешь узнать?
Спроси Mozg
Открыть лучший ответ