М
Молодежь
К
Компьютеры-и-электроника
Д
Дом-и-сад
С
Стиль-и-уход-за-собой
П
Праздники-и-традиции
Т
Транспорт
П
Путешествия
С
Семейная-жизнь
Ф
Философия-и-религия
Б
Без категории
М
Мир-работы
Х
Хобби-и-рукоделие
И
Искусство-и-развлечения
В
Взаимоотношения
З
Здоровье
К
Кулинария-и-гостеприимство
Ф
Финансы-и-бизнес
П
Питомцы-и-животные
О
Образование
О
Образование-и-коммуникации
ruslanmorozko
ruslanmorozko
15.01.2021 09:47 •  Геометрия

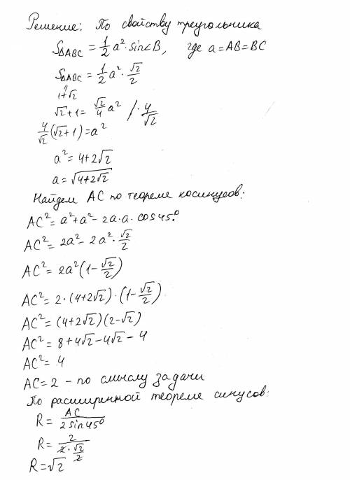
Если площадь вписанного в окружность равнобедренного треугольника с углом 45° при вершине составляет \sqrt{2} + 1, то радиус этой окружности равен

👇
Ответ:
aprishkom
aprishkom
15.01.2021

\sqrt{2}

Объяснение:

Решение в приложении


Если площадь вписанного в окружность равнобедренного треугольника с углом 45° при вершине составляет
Если площадь вписанного в окружность равнобедренного треугольника с углом 45° при вершине составляет
4,5(37 оценок)
Открыть все ответы
Ответ:
СабинаЛис
СабинаЛис
15.01.2021
Так як AA1 = DD1 = A1D1 = AD => DD1 = AA1 = CC1 = BB1 (призма пряма) => що всі квадрати рівні між собою і AD = DC = CB, A1D1 = D1C1 = C1B1 = 9 см. Отже, всі сторони даних квадратів по 9 см. Sadcd = S a1b1c1d1:DH перпендикулярно AB, AH = AB-DC = 39-9 = 30 см. Трикутник AHD: по теоремі Піфагора: DH² = 30²-9², DH² = (30-9) (30 + 9), DH² = 3 * 7 * 3 * 13, DH = 3√91. Sadcd = (48 * 3√91) / 2 = 72√91 (див в квадраті) = S a1b1c1d1. S підстави = 2 * 72√91 = 144√91. S бічна = 3 * S a1add1 + S aa1b1b. S бічна = 3 * 81 + 9 * 39 = 594. S повну поверхню = 594 + 144√91. Перевір ще раз
Основа прямої призми - трапеція, в якої паралельні сторони 9 см і 39 см. три бічні грані призми – кв
4,4(79 оценок)
Ответ:
Unicorn135
Unicorn135
15.01.2021

Дано: АВСД - трапеция, АВ=СД, ВС=8 см, АД=12 см, ВН - высота, ВН=6 см, СК=КД. Найти ВК и АК.

Решение: рассмотрим треугольник АВН - прямоугольный.

АН=(АД-ВС):2=2 см

АВ=СД=√(36+4)=√40=2√10 см.; СК=КД=2√10\2=√10 см.

cosA=АН\АВ=2\2√10=√10\10; cosД=√10\10

Рассмотрим треугольник АКД и найдем АК по теореме косинусов:

АК²=АД²+КД²-2*АД*КД*√10\10=144+10-2*12√10*√10\10=130; АК=√130=11,4 см.

Рассмотрим треугольник ВКС и найдем ВК по теореме косинусов:

ВК²=ВС²+СК²-2*ВС*СК*(cos180-α)=64+10-2*8*√10*(-√10\10)=74+16=90;

ВК=√90=9,48 см.

ответ: 11,4 см, 9,48 см.



Основания равнобедренной трапеции равны 8 м и 12 м, а высота 6 м. найдите длину отрезков, соединяющи
4,5(33 оценок)
Новые ответы от MOGZ: Геометрия
logo
Вход Регистрация
Что ты хочешь узнать?
Спроси Mozg
Открыть лучший ответ