М
Молодежь
К
Компьютеры-и-электроника
Д
Дом-и-сад
С
Стиль-и-уход-за-собой
П
Праздники-и-традиции
Т
Транспорт
П
Путешествия
С
Семейная-жизнь
Ф
Философия-и-религия
Б
Без категории
М
Мир-работы
Х
Хобби-и-рукоделие
И
Искусство-и-развлечения
В
Взаимоотношения
З
Здоровье
К
Кулинария-и-гостеприимство
Ф
Финансы-и-бизнес
П
Питомцы-и-животные
О
Образование
О
Образование-и-коммуникации

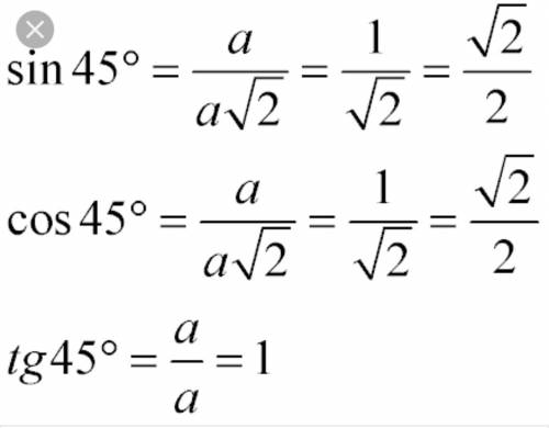
Дан прямоугольный треугольник , сторона св=са. угол с прямоугольный.ва гипотенуза . как найти sin45 cos45 tg45 градусов

👇
Ответ:
Ilona9595
Ilona9595
04.03.2020
Синус- отношение противолежащего катета к гипотенузе
Косинус-отношение прилежащего катета к гипотенузе
Тангенс - отношение противолежащего катета к прилежащему
А вообще, это табличные значения, их надо знать.

Дан прямоугольный треугольник , сторона св=са. угол с прямоугольный.ва гипотенуза . как найти sin45
4,4(3 оценок)
Открыть все ответы
Ответ:
мотя104
мотя104
04.03.2020

1

Сало їдять українці, сало вживають щодня,

В селах, у кожній хатинці, є вітчизняна свиня.

Сало з дитинства люблю я, на дотик приємне й на смак,

З ним під подушкою сплю я, від сала не схуднеш ніяк.

Приспів:

Ой, сало, сало, сало, українське сало,

Ой, яке ж воно смачне і його завжди мало,

Я до сала вже так звик, є цибуля і часник,

Покладеш сало на язик.

Сало, сало, сало, українське сало,

Українцям того сала завжди буде мало.

Щоб у вас і у нас все завжди стояло,

Треба їсти наше сало.

2

Не треба нам «Снікерс» і йогурт, не хочу в Нью-Йорк і Париж,

Дай найріднішого його – сала шматочок відріж.

Не треба ні ложки, ні вилки, сало рукою візьму,

Вип’ю я чарку горілки і сала не дам нікому.

Приспів.

Програш.

3

Нюхають токсикомани, наркомани на голці сидять,

Негри теж люблять банани, а у Франції жабу їдять.

Нам не потрібні гостинці, з далеких заморських країв,

Сала давай українцю – і найщасливіший він.

Приспів.

4

На сході їдять рибу-суші, сала не їли вони,

Жирні ріднесенькі хрюші, смачненькі мої кабани.

Все, що на сало так схоже я буду їсти ням-ням,

Сала й здоров’я, дай боже, всім українським сім’ям.

4,7(80 оценок)
Ответ:
ada9797
ada9797
04.03.2020

Площа прямої призми = площа основи*2 + периметр основи*висота.

В основі призми прямокутний трикутник. Його площа = катет1*катет2 /2. Периметр трикутника = сумма всіх сторін. В даному трикутнику відомі дві сторони. За теоремою Піфагора знайдемо гіпотенузу:

6*6+8*8 = 10*10

Гіпотенуза = 10 см

Отже, периметр = 10+6+8 = 24 см

площа = 8*6/2 = 48/2 = 24 кв.см 

У прямій призмі бічні ребра перпендикулярні основі, тобто бічне ребро - висота призми.

Тепер площа пр. призми = 2*24 + 24*5 = 48+120 = 168 кв.см 

Відповідь: 168 кв.см площа повної поверхні прямої призми. 

4,8(85 оценок)
Это интересно:
Новые ответы от MOGZ: Геометрия
logo
Вход Регистрация
Что ты хочешь узнать?
Спроси Mozg
Открыть лучший ответ