М
Молодежь
К
Компьютеры-и-электроника
Д
Дом-и-сад
С
Стиль-и-уход-за-собой
П
Праздники-и-традиции
Т
Транспорт
П
Путешествия
С
Семейная-жизнь
Ф
Философия-и-религия
Б
Без категории
М
Мир-работы
Х
Хобби-и-рукоделие
И
Искусство-и-развлечения
В
Взаимоотношения
З
Здоровье
К
Кулинария-и-гостеприимство
Ф
Финансы-и-бизнес
П
Питомцы-и-животные
О
Образование
О
Образование-и-коммуникации
umsynaiamirova
umsynaiamirova
20.03.2020 10:47 •  Геометрия

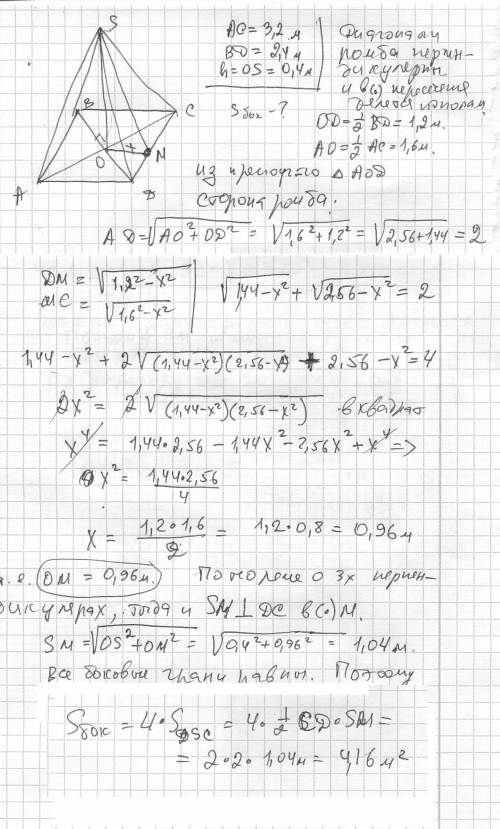
Основанием пирамиды служит ромб с диагоналями 3,2 и 2,4 м. высота пирамиды проходит через точку пересечения диагоналей ромба и равна 0,4 м. найдите площадь боковой поверхности этой пирамиды.

👇
Ответ:
sorrypepemain
sorrypepemain
20.03.2020
Основанием пирамиды служит ромб с диагоналями 3,2 и 2,4 м. Высота пирамиды проходит через точку пересечения диагоналей ромба и равна 0,4 м. Найдите площадь боковой поверхности этой пирамиды.

Боковые ребра не равны, но я не стал это доказывать, это не сложно, да и не нужно. Зато грани равны. (трем сторонам). 
Основанием пирамиды служит ромб с диагоналями 3,2 и 2,4 м. высота пирамиды проходит через точку пере
4,5(76 оценок)
Открыть все ответы
Ответ:
superrada
superrada
20.03.2020

Агрикола, Георгий, немецкий ученый в области минералогии и горного дела, врач.

Адриан VI, Папа римский.

Александр Ягеллончик, Великий князь Литовский и король Польши.

Борецкая, Марфа, новгородская посадница

Брунеллески, Филиппо, итальянский архитектор.

Лоренцо Валла, итальянский гуманист, родоначальник историко-филологической критики.

Васко да Гама, португальский исследователь, известен как первый европеец, совершивший морское путешествие в Индию.

Вийон, Франсуа, последний и величайший из поэтов французского средневековья.

Владилав Дракула III Цепеш, князь Валахии.

Генрих VII, король Англии и государь Ирландии

Генрих V, король Англии.

Генрих-Мореплаватель, португальский принц, организатор многих португальских морских экспедиций на юг вдоль западноафриканского побережья.

Гус, Ян, проповедник, мыслитель, идеолог чешской Реформации.

Гутенберг, Иоганн, немецкий изобретатель книгопечатания.

Жанна д’Арк, национальная героиня Франции.

Изабелла I Католическая, королева Кастилии и Леона.

Иоганн Авентин, немецкий историк, филолог, ученый-гуманист.

Казимир IV, великий князь литовский и король Польши.

Колумб, Христофор, испанский мореплаватель и открыватель новых земель, открыл Америку.

Константин XI Драгаш, последний византийский император.

Леонардо да Винчи, итальянский художник и учёный.

Людовик XI, король Франции.

Мехмед II, султан Оттоманской империи, завоеватель Константинополя.

Микеланджело Буонарроти, великий итальянский скульптор, живописец, архитектор, поэт, мыслитель. Один из величайших мастеров эпохи Ренессанса.

Николай Кузанский, немецкий мыслитель, математик.

Кристина Пизанская, французская поэтесса.

Окегем, Йоханнес, франко-фламандский композитор.

Пьетро Помпонацци, мыслитель.

Ричард III, король Англии, последний представитель мужской линии Плантагенетов на английском престоле.

Скандербег, национальный герой Албании.

Стефан III Великий, господарь, один из самых видных правителей Молдавского княжества.

Торквемада, Томас, основатель испанской инквизиции, великий инквизитор Испании.

Фердинанд Католик, король Кастилии (как Фердинанд V), Арагона (как Фердинанд II), Сицилии и Неаполя (как Фердинанд III).

Фичино, Марсилио, итальянский гуманист, философ, основатель и глава флорентийской Платоновской академии.

Матьяш Хуньяди, король Венгрии.

Янош Хуньяди, государственный деятель Венгерского королевства.

Чжэн Хэ, китайский путешественник, флотоводец, дипломат.

4,4(77 оценок)
Ответ:
Lybasha7
Lybasha7
20.03.2020

Жетысуский Алатау является своеобразным переходом между Сибирью и горами Средней Азии. На севере преобладает

сибирская лугово-степная зона, на юге – ландшафт, свойственный степям. Высотные пояса гор начинаются с полупустыни. Здесь расположены поливные поля и пастбища. Выращиваются овощные, кормовые и зерновые культуры. В полупустынях произрастают растения свойственные полупустынной зоне (березово-осиновые рощи, шиповник, сосновые боры). Животный мир также свойственен полупустынной зоне. Здесь проживают такие животные как суслик, серый сурок, кулан, лошадь Пржевальского и другие животные. Часто тут встречается волк и заяц-беляк. Полупустынную зону на высоте 1000 - 1400 до 1800 - 2000 м сменяет степь. В степи преобладают такие растения как типчак, житняк, ковыль. Степь Алатау богата разновидностью животных - сайгак, хорь, лисица, барсук, суслики. Выше 2200-2400 и 2400-2500 м, поднимается лесо-луговая зона. Здесь растут ели, обитают маралы, медведи, косули. Высокогорный пояс в Северном хребте Жетысуского Алатау расположен на высоте 2200-2400 м, а в Южном выше 2400-2500 м. Здесь распространены субальпийские луга, снежники и ледники.

4,6(100 оценок)
Новые ответы от MOGZ: Геометрия
logo
Вход Регистрация
Что ты хочешь узнать?
Спроси Mozg
Открыть лучший ответ