М
Молодежь
К
Компьютеры-и-электроника
Д
Дом-и-сад
С
Стиль-и-уход-за-собой
П
Праздники-и-традиции
Т
Транспорт
П
Путешествия
С
Семейная-жизнь
Ф
Философия-и-религия
Б
Без категории
М
Мир-работы
Х
Хобби-и-рукоделие
И
Искусство-и-развлечения
В
Взаимоотношения
З
Здоровье
К
Кулинария-и-гостеприимство
Ф
Финансы-и-бизнес
П
Питомцы-и-животные
О
Образование
О
Образование-и-коммуникации
dibtdi
dibtdi
31.12.2022 01:27 •  Геометрия

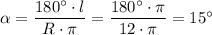
Знайдiть градусную мiру дуги кола, довжина якоï дорiвнюе π см, якщо радiус кола дорiвнюе 12см

👇
Ответ:
staisywell1
staisywell1
31.12.2022
\alpha = \dfrac{180а\cdot l}{R\cdot \pi } = \dfrac{180а\cdot \pi }{12\cdot \pi } =15а
4,4(78 оценок)
Открыть все ответы
Ответ:
smirnovakrestin
smirnovakrestin
31.12.2022
На рисунке равные элементы выделены одинаковыми цветами.

Рассмотрим треугольники ABC и A₁B₁C₁:
 ∠А = ∠А₁
АВ = А₁В₁
АС = А₁С₁
Следовательно, ΔABC = ΔA₁B₁C₁ по двум сторонам и углу между ними.
В равных треугольниках соответствующие элементы равны, отсюда:
∠В = ∠В₁
ВС = В₁С₁

Пусть ВС = В₁С₁ = х  и  СК = С₁К₁ = у, тогда:
ВК = х-у 
В₁К₁ = x-y
Отсюда: ВК = В₁К₁

Рассмотрим треугольники ABК и A₁B₁К₁:
∠В = ∠В₁
АВ = А₁В₁
ВК = В₁К₁
Следовательно, ΔABК = ΔA₁B₁К₁ по двум сторонам и углу между ними. Что и требовалось доказать.
Втреугольниках abc и a1b1c1 угол a=углуа1 ; аb=a1b1 и ac=a1c1.на сторонах bc и b1c1 отмечены точки k
4,4(32 оценок)
Ответ:
Task/27151554

Дано:
AD || BC ;
O - точка  пересечения диагоналей ;
S₁=S(AOD) =4 ;
S₂=S(BOC) =1 .

S =S(ABCD) - ?
Решение:
S(AOB) =S(ABD) - S(AOD) =S(ACD) - S(AOD) = S(DOC) 
* * * т.е.   AOB  и DOC равновеликие треугольники  * * *
Пусть  S(AOB)  = S(DOC)  = Sₓ 
S =S(ABCD)  = S(AOD) +2S(AOB)+S(BOC) = S₁+2Sₓ+ S₂
очевидно :
S(AOB) / S(BOC) = AO / CO = S(AOD) / S(DOC)  ⇒
* * * одинаковые   высота  * * *
S(AOB) /S(BOC) = S(AOD) / S(DOC)  
S(AOB)*S(DOC)  = S(AOD)*S(BOC) 
Sₓ² =S₁*S₂  ⇒ Sₓ =√(S₁*S₂) ,
следовательно :  S = S₁+2Sₓ+ S₂= S₁ +2√(S₁*S₂)+ S₂ =(√S₁+ √S₂)².

ответ : S = (√S₁+ √S₂)².   * * *   S=(√S₁+ √S₂)² =(√4+ √1)² =9.* * *
  P.S.  
Можно  и решать по другому  (через подобия )
4,8(50 оценок)
Это интересно:
Новые ответы от MOGZ: Геометрия
logo
Вход Регистрация
Что ты хочешь узнать?
Спроси Mozg
Открыть лучший ответ