М
Молодежь
К
Компьютеры-и-электроника
Д
Дом-и-сад
С
Стиль-и-уход-за-собой
П
Праздники-и-традиции
Т
Транспорт
П
Путешествия
С
Семейная-жизнь
Ф
Философия-и-религия
Б
Без категории
М
Мир-работы
Х
Хобби-и-рукоделие
И
Искусство-и-развлечения
В
Взаимоотношения
З
Здоровье
К
Кулинария-и-гостеприимство
Ф
Финансы-и-бизнес
П
Питомцы-и-животные
О
Образование
О
Образование-и-коммуникации
Lyubcessa1
Lyubcessa1
19.02.2020 15:52 •  Геометрия

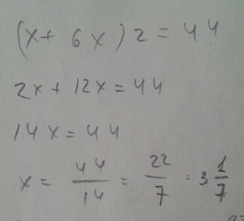
Периметр параллелограмма 44 одна сторона параллелограмма на 6 раз больше другой найдите меньшую сторону параллелограмма

👇
Ответ:
vevgrafov
vevgrafov
19.02.2020
ответ в фото……………………..
Периметр параллелограмма 44 одна сторона параллелограмма на 6 раз больше другой найдите меньшую стор
4,4(16 оценок)
Открыть все ответы
Ответ:
Кириджа114
Кириджа114
19.02.2020

Катеты данного прямоугольного треугольника равны 2√10 см и 6√10 см.

Объяснение:

Рисунок прилагается.

Дано: ABC прямоугольный треугольник, ∠ С = 90°, CH- высота, AH = 2 см - проекция катета AC на гипотенузу, BH = 18 см - проекция катета BC на гипотенузу.

Найти катеты AC и BC.

Обозначим для удобства катеты AC = a, BC = b, проекции катетов AH = a₁, BH = b₁, высоту CH = h.

Высота в прямоугольном треугольнике, опущенная на гипотенузу, равна среднему пропорциональному проекций катетов на гипотенузу.

h² = a₁*b₁ = 2 * 18 = 36;   h = 6

⇒ Высота треугольника, опущенная на гипотенузу CH = h = 6 см.

Из прямоугольного ΔACH по теореме Пифагора:

a² = h² + a₁² = 6²  + 2² = 36 + 4 = 40;   a = √40 = 2√10

Катет AC = 2√10 см/

Из прямоугольного ΔBCH по теореме Пифагора:

b² = h² + b₁² = 6²  + 18² = 36 + 324 = 360;   b = √360 = 6√10

Катет BC = 6√10 см.

Катеты данного прямоугольного треугольника равны 2√10 см и 6√10 см.


Проекція катетів прямокутного трикутника 2 і 18 см. Знайти катети​
4,8(54 оценок)
Ответ:
olykharkov
olykharkov
19.02.2020
1.Найдите площадь квадрата, если его периметр равен 100
см. У квадрата 4 стороны, и они равны, поэтому 100:4=25 одна сторона.
Площадь =25*25=625 м2

2.Периметр прямоугольника равен            80 см, а длина в 3 раза больше
ширины. Найдите его площадь?  
80:2=40 см это суммы ширины и длины
так как длина в3 раза больше, то это 3 части, а ширина 1 часть, всего 4 части
40:4=10 см это одна счасть, то есть ширина
10*3=30 см длина
10*30=300 см2 площадь

3.Стороны прямоугольника равны 25 см и 4 см. Каковы
стороны равновеликого ему прямоугольника, у которого стороны равны? 
25*4=100 см2 площадь
√100=10 см сторона прямоугольника

4. Найдите периметр прямоугольника если его площадь равна
128 см², а  длины его сторон относятся
как 1 : 2. 
пусть одна сторона х, другая 2х
1х*2х=128
2х²=128
х²=64
х=8 см  ширина
8*2=16 см длина
2*(8+16)=2*24=48 см периметр

5.      Найдите стороны
квадрата, площадь которого равна площади прямоугольника со сторонами 8 см и 98см.
8*98=784 см2 площадь прямоугольника
√784=28 см стороны квадрата

6.  Как измениться площадь прямоугольника, если его стороны
уменьшить в 3 раза.
х,у стороны прямоуг.
х/3*у/3=ху/9 площадь уменьшится в 9 раз.
4,4(49 оценок)
Это интересно:
Новые ответы от MOGZ: Геометрия
logo
Вход Регистрация
Что ты хочешь узнать?
Спроси Mozg
Открыть лучший ответ