М
Молодежь
К
Компьютеры-и-электроника
Д
Дом-и-сад
С
Стиль-и-уход-за-собой
П
Праздники-и-традиции
Т
Транспорт
П
Путешествия
С
Семейная-жизнь
Ф
Философия-и-религия
Б
Без категории
М
Мир-работы
Х
Хобби-и-рукоделие
И
Искусство-и-развлечения
В
Взаимоотношения
З
Здоровье
К
Кулинария-и-гостеприимство
Ф
Финансы-и-бизнес
П
Питомцы-и-животные
О
Образование
О
Образование-и-коммуникации
laravysotskaya
laravysotskaya
14.01.2023 12:59 •  Геометрия

Найдите угол между лучом ob и положительной полуосью ox если b(3; 3)

👇
Ответ:
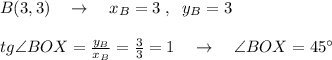
B(3,3)\quad \to \quad x_{B}=3\; ,\; \; y_{B}=3\\\\tg\angle BOX= \frac{y_{B}}{x_{B}} = \frac{3}{3}=1\quad \to \quad \angle BOX=45^\circ
4,5(1 оценок)
Ответ:
Danya1111111111135
Danya1111111111135
14.01.2023
Хорошо, давайте рассмотрим этот вопрос.

Дано, что точка b имеет координаты (3, 3). Для нахождения угла между лучом ob и положительной полуосью ox, нам понадобится найти угол между лучом ob и положительной осью ox.

Угол между лучом и осью может быть найден с помощью тригонометрии, используя тангенс угла. Для этого нам понадобятся понятия о теореме Пифагора, тангенса и противолежащем и прилежащем катете.

Шаг 1: Найдите длину сторон прямоугольного треугольника

Так как точка b находится на плоскости, мы можем использовать координаты (3, 3) для нахождения длины противолежащего катета и прилежащего катета треугольника.

Противолежащий катет (b): разница между координатой у точки b и началом координат, так как начало координат (0, 0)

b = 3 - 0 = 3

Прилежащий катет (a): разница между координатой x точки b и началом координат

a = 3 - 0 = 3

Шаг 2: Примените теорему Пифагора, чтобы найти длину гипотенузы

Теорема Пифагора утверждает, что сумма квадратов длин двух катетов равна квадрату длины гипотенузы.

c^2 = a^2 + b^2

c^2 = 3^2 + 3^2
c^2 = 9 + 9
c^2 = 18

c = √18

Шаг 3: Найдите тангенс угла

Тангенс угла равен отношению противолежащего катета к прилежащему катету.

tan(θ) = b / a
tan(θ) = 3 / 3
tan(θ) = 1

Шаг 4: Найдите значение угла

Используя тангенс, мы можем найти значение угла с помощью обратной функции тангенса (arctan). Значение угла будет выражено в радианах.

θ = arctan(1)
θ ≈ 0,7854 радиан

Однако, чтобы ответить на вопрос нам нужно найти угол между лучом ob и положительной полуосью ox, который находится в первой четверти. Таким образом, угол между лучом ob и положительной полуосью ox будет равен 0,7854 радиана или приблизительно 45 градусов.

Надеюсь, это помогло вам понять, как найти угол между лучом ob и положительной полуосью ox, используя координаты точки b и тригонометрию. Если есть ещё вопросы, пожалуйста, не стесняйтесь задавать.
4,7(23 оценок)
Проверить ответ в нейросети
Новые ответы от MOGZ: Геометрия
logo
Вход Регистрация
Что ты хочешь узнать?
Спроси Mozg
Открыть лучший ответ