М
Молодежь
К
Компьютеры-и-электроника
Д
Дом-и-сад
С
Стиль-и-уход-за-собой
П
Праздники-и-традиции
Т
Транспорт
П
Путешествия
С
Семейная-жизнь
Ф
Философия-и-религия
Б
Без категории
М
Мир-работы
Х
Хобби-и-рукоделие
И
Искусство-и-развлечения
В
Взаимоотношения
З
Здоровье
К
Кулинария-и-гостеприимство
Ф
Финансы-и-бизнес
П
Питомцы-и-животные
О
Образование
О
Образование-и-коммуникации
movamrr
movamrr
28.12.2020 00:48 •  Геометрия

Через точку a проведена касательная ab к окружности с радиусом 3(b-точка касания), отрезок bc - диаметр этой окружности. найдите угол bac, если ac=6корень из 2

👇
Ответ:
nissanbaev25
nissanbaev25
28.12.2020

Схематический рисунок приложен.

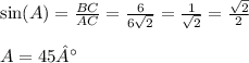
АВ - касательная - значит она с ОВ и ВС образовывает угол 90° (касательная перпендикулярна к радиусу)

Следовательно, мы имеет прямоугольный треугольник АВС, угол В=90°

СВ=2R = 6 (не знаю чего, может сантиметров)

Отношение противоположного катета ВС к гипотенузе АС равно синус угла В

\sin(A) = \frac{BC}{AC} = \frac{6}{6 \sqrt{2} } = \frac{1}{ \sqrt{2} } = \frac{ \sqrt{2} }{2} \\ \\ A= 45°

ответ: 45°


Через точку a проведена касательная ab к окружности с радиусом 3(b-точка касания), отрезок bc - диам
4,7(38 оценок)
Ответ:
Alina0989
Alina0989
28.12.2020

решение и ответ во вложении


Через точку a проведена касательная ab к окружности с радиусом 3(b-точка касания), отрезок bc - диам
4,6(43 оценок)
Открыть все ответы
Ответ:
moiytrewq20005
moiytrewq20005
28.12.2020
Трапеция АВСД, АВ=СД, уголА=уголД, уголВ=уголС, М-точка касания окружности на АВ, Т- на ВС, Р-на СД, Л-на АД, ВМ/АМ=1/9=1х/9х, АВ=АМ+ВМ=х+9х=10х, АМ=АЛ=9х - как касательные проведенные из одной точки, т.к АВ=СД то СР/РД=ВМ=АМ=1х/9х, РД=ЛД=9х как касательные..., СР=СТ=х  и ВТ=ВМ=х - как ькасательные...,  периметр АВСД=4*х+4*9х=40х, проводим высоты ВН и СК на АД, треугольник АВН=треугольник КСД как прямоугольные по гипотенузе и острому углу, , НВСК прямоугольник НК=ВС=ВТ+СТ=х+х=2х, АН=КД=(АД-НК)/2, АД=АЛ+ЛД=9х+9х=18х, АН=КД=(18х-2х)/2=8х, треугольник АВН прямоугольный, ВН-высота трапеции=диаметр вписанной окружности=корень(АВ в квадрате-АН вквадрате)=корень(100*х в квадрате-64*х в квадрате)=6х, длина дуги=6пи=2*пи*радиус, радиус=3, диаметр=2*3=6, 6х=6, х=1, периметр=40*1=40
4,8(89 оценок)
Ответ:
DKNRMLLY
DKNRMLLY
28.12.2020
В условии задачи ошибка. Должно быть так:

Докажите, что если стороны одного угла соответственно параллельны сторонам другого угла, то такие углы равны или в сумме составляют 180°.

Возможны два случая расположения таких углов (см. рисунок).
1. ∠2 = ∠3 как соответственные при пересечении параллельных прямых ВС и MN секущей КМ, а
∠1 = ∠3 как соответственные при пересечении параллельных прямых АВ и КМ секущей ВС, ⇒
∠2 = ∠1.

2. ∠2 + ∠3 = 180°,так как эти углы - внутренние односторонние при пересечении параллельных прямых ВС и MN секущей КМ,
∠1 = ∠3 как внутренние накрест лежащие при пересечении параллельных прямых АВ и КМ секущей ВС, ⇒
∠1 + ∠2 = 180°
4,8(87 оценок)
Это интересно:
Новые ответы от MOGZ: Геометрия
logo
Вход Регистрация
Что ты хочешь узнать?
Спроси Mozg
Открыть лучший ответ