М
Молодежь
К
Компьютеры-и-электроника
Д
Дом-и-сад
С
Стиль-и-уход-за-собой
П
Праздники-и-традиции
Т
Транспорт
П
Путешествия
С
Семейная-жизнь
Ф
Философия-и-религия
Б
Без категории
М
Мир-работы
Х
Хобби-и-рукоделие
И
Искусство-и-развлечения
В
Взаимоотношения
З
Здоровье
К
Кулинария-и-гостеприимство
Ф
Финансы-и-бизнес
П
Питомцы-и-животные
О
Образование
О
Образование-и-коммуникации
kirillmotoin
kirillmotoin
17.05.2021 21:14 •  Геометрия

Площадь полной поверхности правильного тетраэдра составляет 120 корней из 3 см^2. найдите его высоту.

👇
Ответ:
rjt54
rjt54
17.05.2021
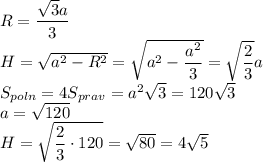
 Если ребро тетраэдра равна a, высота правильного тетраэдра проецируется в центр описанной окружности описанной около правильного треугольника на которую опущена высота H, а радиус описанной окружности равен  
R= \dfrac{\sqrt{3}a}{3} \\ H=\sqrt{a^2-R^2} = \sqrt{a^2-\dfrac{a^2}{3}} = \sqrt{\dfrac{2}{3}}a\\ S_{poln} = 4S_{prav} = a^2 \sqrt{3} = 120\sqrt{3}\\ a=\sqrt{120} \\ H=\sqrt{\dfrac{2}{3} \cdot 120} = \sqrt{80} = 4\sqrt{5}
4,6(100 оценок)
Открыть все ответы
Ответ:
михас3
михас3
17.05.2021
Попробую стать лаской. Хотя обычно я злой, очень злой.

Давай попробуем рассуждать логически. В маленьком треугольнике, отсекаемом от заданного высотой, нам даны катет 12 (он равен высоте большого), и гипотенуза 24 (она равна катету большого). Из этого можем найти второй катет маленького, назовём его банальной буквой х. По теореме Пифагора,
х^2 = 24^2 - 12^2 = 432
х = корень(432) = 12*корень(3).

теперь нам нужно заметить, что маленький и большой треугольники подобны по трём углам (у них обоих имеется прямой угол, и ещё один из острых углов у них общий). При этом у большого треугольника катет дан 24 см, а у маленького мы нашли в предыдущем действии 12*корень(3). Значит можем составить пропорцию.

Назовём гипотенузу большого треугольника, которую нужно найти банальной буквой у. Тогда
у / 24 = 24 / (12*корень(3))
Отсюда у = 24 * 24 / (12*корень(3)) = 48 / корень(3) = 16*корень(3)
Если угодно в цифрах, то 16 * 1,732  = примерно 27,71 см

Ну так у меня получилось. Уж не знаю обманул тебя или правду сказал.
4,8(40 оценок)
Ответ:
Vika556965
Vika556965
17.05.2021
Для этого надо составить уравнения сторон в виде у = кх + в.
У параллельных прямых коэффициенты "к" равны.
Сторона АВ:
Уравнение прямой:
Будем искать уравнение в виде y = k · x + b .
В этом уравнении:
k - угловой коэффициент прямой (k = tg(φ), φ - угол, который образует данная прямая с положительным направлением оси OX);
b - y-координата точки (0; b), в которой искомая прямая пересекает ось OY.
k = (yB - yA) / (xB - xA) = (2 - (-6)) / (4 - (2)) = 4;
b = yB - k · xB = 2 - (4) · (4) = yA - k · xA = -6 - (4) · (2) = -14 .
Искомое уравнение: y = 4 · x  - 14 .

Сторона ВС:
k = (yB - yA) / (xB - xA) = (5 - (2)) / (-2 - (4)) = -0.5;
b = yB - k · xB = 5 - (-0.5) · (-2) = yA - k · xA = 2 - (-0.5) · (4) = 4 .
Искомое уравнение: y = -0.5 · x + 4 .

Сторона СД:
k = (yB - yA) / (xB - xA) = (1 - (5)) / (-3 - (-2)) = 4;
b = yB - k · xB = 1 - (4) · (-3) = yA - k · xA = 5 - (4) · (-2) = 13 .
Искомое уравнение: y = 4 · x + 13 .

Сторона АД:
k = (yB - yA) / (xB - xA) = (1 - (-6)) / (-3 - (2)) = -1.4;
b = yB - k · xB = 1 - (-1.4) · (-3) = yA - k · xA = -6 - (-1.4) · (2) = -3.2 .
Искомое уравнение: y = -1.4 · x  - 3.2 .

Уравнения сторон АВ и СД имеют одинаковые коэффициенты "к", поэтому заданный четырёхугольник - трапеция.
4,5(14 оценок)
Это интересно:
Новые ответы от MOGZ: Геометрия
logo
Вход Регистрация
Что ты хочешь узнать?
Спроси Mozg
Открыть лучший ответ