М
Молодежь
К
Компьютеры-и-электроника
Д
Дом-и-сад
С
Стиль-и-уход-за-собой
П
Праздники-и-традиции
Т
Транспорт
П
Путешествия
С
Семейная-жизнь
Ф
Философия-и-религия
Б
Без категории
М
Мир-работы
Х
Хобби-и-рукоделие
И
Искусство-и-развлечения
В
Взаимоотношения
З
Здоровье
К
Кулинария-и-гостеприимство
Ф
Финансы-и-бизнес
П
Питомцы-и-животные
О
Образование
О
Образование-и-коммуникации
ВИТ21
ВИТ21
12.11.2020 15:30 •  Геометрия

На прямой расположено 11 точек. сумма расстояний от первой точки до остальных десяти равна 2018, а сумма растояний от второй точки до остальный десяти равна 2000. чему равно расстояние между первой и второй точками? а) 1. б) 2. в) 3. г) 9. д) 18. , полный ответ с объяснениями. не пишите "-о ты тоже кенгуру делаешь? " или что то вроде этого.

👇
Ответ:
Маша28201
Маша28201
12.11.2020
Пусть х₂, х₃, х₄, ..., х₁₁ - расстояния от 1-ой точки до 2, 3, 4, ..., 11.
Пусть y₁, y₃, y₄, ..., y₁₁ - расстояния от 2-ой точки до 1, 3, 4, ..., 11.
Заметим:
х₂=y₁=z - искомое расстояние между 1 и 2 точками
х₃=z+y₃
х₄=z+y₄
...
х₁₁=z+y₁₁
Распишем заданные суммы:
x_2+x_3+x_4+...+x_{11}=2018 \\\
 y_1+y_3+y_4+...+y_{11}=2000
Преобразуем:
z+(z+y_3)+(z+y_4)+...+(z+y_{11})=2018 \\\
 z+y_3+y_4+...+y_{11}=2000
Из первого выражения вычтем второе:
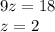
9z=18 \\\ z=2
ответ: 2
4,4(33 оценок)
Открыть все ответы
Ответ:
АВСД - параллелограмм. АМ - бисектрисса. Угол ВМА = 48.
У параллелограмма противоположные стороны параллельны и равны, значит
угол ВМА = МАД - как накрест лежащие углы при параллельных прямых ВС и АД и секущей АМ.
Так как АМ - бисектрисса угла А, то угол А = 48 * 2 = 96 градусов.
У параллелограмма противолежащие углы равны, значти угол С = 96 градусов.
У паралелограмма сумма углов, прилегающиж к одной стороне равна 180 градусов, значит угол В = 180 - 96 = 84 градуса.
Угол Д = В = 84 градуса.
ответ: 96, 84, 96, 84.
4,6(20 оценок)
Ответ:
sashatitsky
sashatitsky
12.11.2020
АВСД - параллелограмм. АМ - бисектрисса. Угол ВМА = 48.
У параллелограмма противоположные стороны параллельны и равны, значит
угол ВМА = МАД - как накрест лежащие углы при параллельных прямых ВС и АД и секущей АМ.
Так как АМ - бисектрисса угла А, то угол А = 48 * 2 = 96 градусов.
У параллелограмма противолежащие углы равны, значти угол С = 96 градусов.
У паралелограмма сумма углов, прилегающиж к одной стороне равна 180 градусов, значит угол В = 180 - 96 = 84 градуса.
Угол Д = В = 84 градуса.
ответ: 96, 84, 96, 84.
4,4(76 оценок)
Это интересно:
Новые ответы от MOGZ: Геометрия
logo
Вход Регистрация
Что ты хочешь узнать?
Спроси Mozg
Открыть лучший ответ