М
Молодежь
К
Компьютеры-и-электроника
Д
Дом-и-сад
С
Стиль-и-уход-за-собой
П
Праздники-и-традиции
Т
Транспорт
П
Путешествия
С
Семейная-жизнь
Ф
Философия-и-религия
Б
Без категории
М
Мир-работы
Х
Хобби-и-рукоделие
И
Искусство-и-развлечения
В
Взаимоотношения
З
Здоровье
К
Кулинария-и-гостеприимство
Ф
Финансы-и-бизнес
П
Питомцы-и-животные
О
Образование
О
Образование-и-коммуникации
Vureshivatel
Vureshivatel
31.03.2023 16:19 •  Геометрия

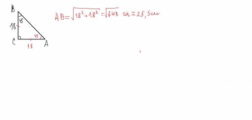
Дано: треугольник abc b = 45° bc = 18 см найти: угол a и стороны

👇
Ответ:
Lina300333
Lina300333
31.03.2023
В прямоугольном треугольнике сумма углов равна 90+∠В+∠А=180°
∠В=45°   тогда ∠А=180°-90°-45°=45°.Значит ΔАВС равнобедренный и сторона АС=18 см.   по т.Пифагора найдем гипотенузу АВ

Дано: треугольник abc b = 45° bc = 18 см найти: угол a и стороны
4,7(62 оценок)
Открыть все ответы
Ответ:
Карина162005
Карина162005
31.03.2023

Сумма углов треугольника равна 180°.

В ΔABC:

∠A+∠B+∠C = 180°;

∠B = 180°-(∠A+∠C) = 180°-(60°+40°) = 80°.

Биссектриса делит угол пополам.

∠DBC = ∠ABC:2 = 80°:2 = 40°, как угол при биссектрисе BD.

Если в треугольника два угла равны, то он равнобедренный.

∠DBC = 40° = ∠DCB ⇒ ΔDBC - равнобедренный, ч.т.д.

Стороны треугольника, лежащие напротив равных углов, равны.

В ΔDBC:

сторона BD лежит напротив ∠DCB;

сторона DC лежит напротив ∠DBC;

∠DBC = ∠DCB ⇒ BD = DC.

ответ: BD = DC.

Объяснение:

Наверно , но ты сказал что амне 15дают!

4,7(5 оценок)
Ответ:
dimao2003
dimao2003
31.03.2023
Если две стороны одного треугольника пропорциональны двум сторонам другого треугольника, а углы, заключенные между этими сторонами равны, то треугольники подобны.

Дано: ∠А = ∠А₁; АВ : А₁В₁  =  АС : А₁С₁ .
Доказать: ΔАВС подобен ΔА₁В₁С₁.
Доказательство:
Достроим на стороне АС треугольник АВ₂С, в котором углы, прилежащие к стороне АС, равны углам в треугольнике А₁В₁С₁ (как на рисунке) .
Тогда ΔАВ₂С подобен ΔА₁В₁С₁ по двум углам. Запишем отношение сторон в этих треугольниках:
АВ₂ : А₁В₁ = АС : А₁С₁.
Сравним полученную пропорцию с данной в условии:
АВ : А₁В₁  =  АС : А₁С₁
Значит, АВ₂ = АВ.
Но тогда ΔАВС = ΔАВ₂С по двум сторона и углу между ними (АС - общая, АВ₂ = АВ и ∠А = ∠А₁ = ∠1 по условию).
Итак, ΔАВС = ΔАВ₂С, а ΔАВ₂С подобен ΔА₁В₁С₁, значит
ΔАВС подобен ΔА₁В₁С₁.
Доказано.
4,8(10 оценок)
Это интересно:
Новые ответы от MOGZ: Геометрия
logo
Вход Регистрация
Что ты хочешь узнать?
Спроси Mozg
Открыть лучший ответ