М
Молодежь
К
Компьютеры-и-электроника
Д
Дом-и-сад
С
Стиль-и-уход-за-собой
П
Праздники-и-традиции
Т
Транспорт
П
Путешествия
С
Семейная-жизнь
Ф
Философия-и-религия
Б
Без категории
М
Мир-работы
Х
Хобби-и-рукоделие
И
Искусство-и-развлечения
В
Взаимоотношения
З
Здоровье
К
Кулинария-и-гостеприимство
Ф
Финансы-и-бизнес
П
Питомцы-и-животные
О
Образование
О
Образование-и-коммуникации
Nurs147
Nurs147
24.12.2020 12:01 •  Геометрия

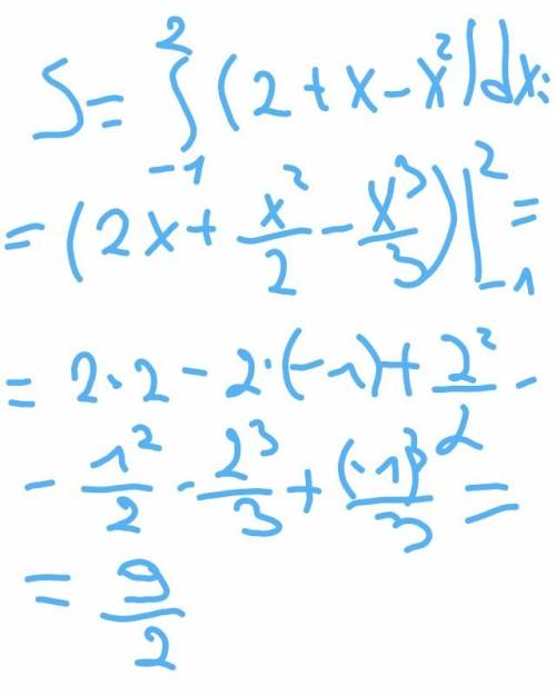
Найти площадь фигуры, ограниченной линиями: найти площадь фигуры, ограниченной линиями y=x2, y=x+2

👇
Ответ:
szhanibekov
szhanibekov
24.12.2020
Держи.
ответ: S = 9/2.
Найти площадь фигуры, ограниченной линиями: найти площадь фигуры, ограниченной линиями y=x2, y=x+2
Найти площадь фигуры, ограниченной линиями: найти площадь фигуры, ограниченной линиями y=x2, y=x+2
4,8(64 оценок)
Открыть все ответы
Ответ:
zhekeeva2013
zhekeeva2013
24.12.2020

Выписать словосочетания с прилагательными, поставив их в нужной форме

Образец: известных долгожительниц, русского ботаника…

Информационная карточка № 2

Яблоня Сиверса – одна из самых (известный) долгожительниц: ей уже более 45 миллионов лет. По мнению учёных, дикая яблоня Сиверса является прародительницей всех культурных сортов яблонь на Земле. Названа она в честь (русский)ботаника (немецкий) происхождения Иоганна Сиверса. Яблоня хорошо переносит (сильный) засуху, не боится (различный) вредителей и болезни Её не нужно обрабатывать пестицидами, в которых нуждается большинство (фруктовый) садов во всём мире.

Яблоня Сиверса занесена в Красную книгу Казахстана. Было время, когда яблони, как и другие (плодовый) деревья, не разрешалось рубить. Они являлись символами плодородия и жизни. Вырубка садов началась в (тяжёлый) 90-е годы. На сегодня огромная часть (знаменитый) (алматинский) (яблоневый) садов вырублена, на их месте возвышаются виллы и коттеджи. С 2004 года (казахстанский) учёные начали бить тревогу, и в 2006 году была открыта программа восстановления (яблоневый) садов. С 2009 года в городе Алматы ежегодно проводится фестиваль «Үлкен Алма», посвящённый возрождению (алматинский) апорта.

В начале 2016 года известный итальянский научно-исследовательский фонд «Бенеттон» отметил наши яблоневые леса специальной наградой и вручил Международную премию Карло Скарпа в номинации «Сады».

4,5(51 оценок)
Ответ:
ilyavital
ilyavital
24.12.2020

ответ:Рассмотрим треугольники АМВ и СМД

АМ=МС-медиана делит сторону на которую опущена на две равные части

МД-общая сторона

В равнобедренном треугольнике медиана,если она опущена из вершины на основание,является одновременно и высотой,а высота-перпендикуляр и образует прямые углы

Угол АМД равен углу ДМС и каждый из них равен 90 градусов

Исходя из вышеизложенного мы можем утверждать,что треугольник АДМ равен треугольнику ДМС по первому признаку равенства треугольников-если две стороны и угол между ними одного треугольника равны двум сторонам и углу между ними другого треугольника,то эти треугольники равны между собой

Объяснение:

4,8(4 оценок)
Это интересно:
Новые ответы от MOGZ: Геометрия
logo
Вход Регистрация
Что ты хочешь узнать?
Спроси Mozg
Открыть лучший ответ