М
Молодежь
К
Компьютеры-и-электроника
Д
Дом-и-сад
С
Стиль-и-уход-за-собой
П
Праздники-и-традиции
Т
Транспорт
П
Путешествия
С
Семейная-жизнь
Ф
Философия-и-религия
Б
Без категории
М
Мир-работы
Х
Хобби-и-рукоделие
И
Искусство-и-развлечения
В
Взаимоотношения
З
Здоровье
К
Кулинария-и-гостеприимство
Ф
Финансы-и-бизнес
П
Питомцы-и-животные
О
Образование
О
Образование-и-коммуникации
neponyatkiii
neponyatkiii
26.02.2023 01:34 •  Геометрия

Ну ничего не понимаю в этом . нужно определить вид ∆abc( равносторонний, разносторонний, равнобедренный, многоугольный), если а(1; 4; 0), в(1; 4; 3), с( -2; 1; 6)

👇
Ответ:

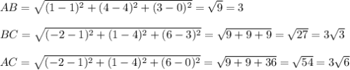
Координаты вершин: А(1;4;0), В(1;4;3), С( -2;1;6)


Найдем длины сторон треугольника:

AB=\sqrt{(1-1)^2+(4-4)^2+(3-0)^2}=\sqrt{9}=3 \\ \\ BC=\sqrt{(-2-1)^2+(1-4)^2+(6-3)^2}=\sqrt{9+9+9}=\sqrt{27} =3\sqrt{3} \\ \\ AC=\sqrt{(-2-1)^2+(1-4)^2+(6-0)^2}=\sqrt{9+9+36}=\sqrt{54} =3\sqrt{6}


Треугольник имеет три стороны разной длины, следовательно, он разносторонний.

4,8(94 оценок)
Ответ:
polinakolesnik4
polinakolesnik4
26.02.2023
A(1:4:0)
B(1;4;3)
C(-2;1;6)
AB²=(1-1)²+(4-4)²+(3-0)²=9
AC²=3²+3²+6²=54
BC²=3²+3²+3²=27
АВ=3;АС=√54=3√6
ВС=√27=3√3
∆АВС разносторонний
4,8(82 оценок)
Открыть все ответы
Ответ:
ayshahajiverdiyeva
ayshahajiverdiyeva
26.02.2023
Отрицательное: чрезмерное внесение удобрений в почву, разрушение почвенного покрова при добыче полезных ископаемых (образуются огромные карьеры).

Положительные: укрепление склонов оврага посадкой деревьев, поперечная вспашка на склонах оврагов, чтобы не было размыва водой при таянии снега и во время ливневых дождей, рекультивация земли ( восстановление земли после добычи полезных исколпаемых - карьеры засыпаются и производится высадка зеленых насаждений или же на местах карьеров создаются искусственные водоемы).
4,5(98 оценок)
Ответ:
zlatalobacheva
zlatalobacheva
26.02.2023

Объяснение:

Окружность с центром в точке А и радиусом 3 см имеет с прямой BС две общие точки. Не верно.

Поскольку прямая расстояние от центра окружности А до стороны ВС, больше радиуса окружности r<AC, r<AB, то прямая и окружность не имеют общих точек.

Окружность с центром в точке А и радиусом 8 см имеет с прямой ВС одну общую точку. Верно.

Если расстояние от центра окружности до прямой равно ее радиусу, то прямая и окружность имеют одну общую точку касания.

Окружность с центром в точке В и радиусом 17 см имеет с прямой АС две общие точки. Не верно

Поскольку радиус окружность равен гипотенузе r=AB, то А∈окружности. Остальные точки АС не имеют с окружностью общих точек, поскольку меньше радиуса окружности.

Окружность с центром в точке В и радиусом 9 см имеет с прямой AС одну общую точку. НЕ ВЕРНО

Поскольку  расстояние от точки В до АС от 15 см до 17 см, то окружность с АС не имеет общих точек.

В приложении есть рисунки для демонстрации утверждений.

Подробнее - на -

4,6(47 оценок)
Это интересно:
Новые ответы от MOGZ: Геометрия
logo
Вход Регистрация
Что ты хочешь узнать?
Спроси Mozg
Открыть лучший ответ