М
Молодежь
К
Компьютеры-и-электроника
Д
Дом-и-сад
С
Стиль-и-уход-за-собой
П
Праздники-и-традиции
Т
Транспорт
П
Путешествия
С
Семейная-жизнь
Ф
Философия-и-религия
Б
Без категории
М
Мир-работы
Х
Хобби-и-рукоделие
И
Искусство-и-развлечения
В
Взаимоотношения
З
Здоровье
К
Кулинария-и-гостеприимство
Ф
Финансы-и-бизнес
П
Питомцы-и-животные
О
Образование
О
Образование-и-коммуникации
Zahardenicuk
Zahardenicuk
27.03.2022 16:19 •  Геометрия

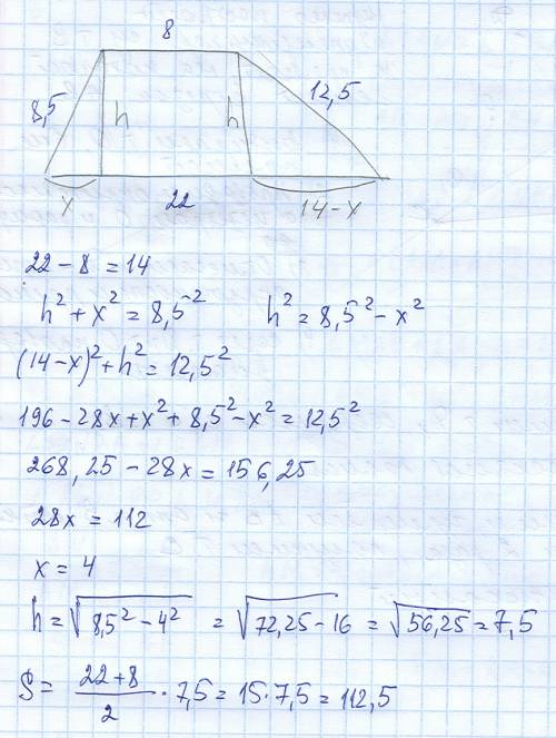
Обчислити площу трапеції,якщо паралельні сторони дорівнюють 8см і 22см,а не паралельні 8.5 см і 12.5см

👇
Ответ:
syedelifozq8ou
syedelifozq8ou
27.03.2022

Решение приложено

ответ: 112,5 см²


Обчислити площу трапеції,якщо паралельні сторони дорівнюють 8см і 22см,а не паралельні 8.5 см і 12.5
4,7(27 оценок)
Ответ:
тот22
тот22
27.03.2022

ещё одно решение

--------------------------------


Обчислити площу трапеції,якщо паралельні сторони дорівнюють 8см і 22см,а не паралельні 8.5 см і 12.5
4,5(100 оценок)
Открыть все ответы
Ответ:
yanabutko
yanabutko
27.03.2022
В равнобедренном треугольнике биссектриса и высота, проведённые к основанию, совпадают. Пусть в равнобедренном треугольнике ABC с основанием AC проведены биссектрисы AA1,BB1,CC1. Точка O является точкой пересечения биссектрис AA1 и CC1. Так как биссектрисы треугольника пересекаются в одной точке, BB1 проходит через точку O. Так как биссектриса и высота, проведённые к основанию, совпадают, BB1 - высота. Тогда BB1 перпендикулярна AC. Так как точка O лежит на отрезке BB1, прямая BO и прямая BB1 совпадают (это одна и та же прямая, которую можно назвать по-разному). Значит, прямая BO перпендикулярна AC, что и требовалось доказать. 
4,4(61 оценок)
Ответ:
Mirror11
Mirror11
27.03.2022
Дано : Δ АВС - равнобедренный
∠В = 112 ° -  внешний угол при вершине В
Найти   углы  ΔАВС  :  ∠АВС -? , ∠ВСА -? , ∠ВАС-?
Решение.
Рассмотрим Δ АВС :
АВ= ВС  (  боковые стороны )
∠ВАС = ∠ВСА  = х ( углы при основании АС)
Внешний угол треугольника равен сумме двух углов не смежных с ним, следовательно :
∠ВАС = ∠ВСА = ∠В : 2   ⇒   ∠ВАС = ∠ВСА = 112 : 2 = 56°
Внешний ∠В   и ∠АВС -  смежные углы .
Сумма смежных углов  равна  180°
∠АВС = 180  -  ∠В   => ∠АВС = 180 - 112 = 68° 

ответ:  ∠ ВАС = ∠ВСА = 56°
             ∠АВС = 68°

Подробнее - на -
Найдите углы при основании ac равнобедренного треугольника abc, если его внешний угол при вершине b
4,5(29 оценок)
Это интересно:
Новые ответы от MOGZ: Геометрия
logo
Вход Регистрация
Что ты хочешь узнать?
Спроси Mozg
Открыть лучший ответ