М
Молодежь
К
Компьютеры-и-электроника
Д
Дом-и-сад
С
Стиль-и-уход-за-собой
П
Праздники-и-традиции
Т
Транспорт
П
Путешествия
С
Семейная-жизнь
Ф
Философия-и-религия
Б
Без категории
М
Мир-работы
Х
Хобби-и-рукоделие
И
Искусство-и-развлечения
В
Взаимоотношения
З
Здоровье
К
Кулинария-и-гостеприимство
Ф
Финансы-и-бизнес
П
Питомцы-и-животные
О
Образование
О
Образование-и-коммуникации
ksenaf
ksenaf
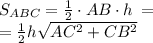
31.10.2020 08:30 •  Геометрия

Впрямоугольном треугольнике известны катеты ac=3 и cb=4 найдите высоту

👇
Ответ:
По т Пифагора
АВ²=АС²+ВС²
AB = \sqrt{AC ^{2} + CB ^{2} } \\
площадь ∆АВС

S_{ABC}= \frac{1}{2} \cdot AB \cdot h \: =\\= \frac{1}{2} h\sqrt{AC ^{2} + CB ^{2} } \\(1)
(см рис)
с другой стороны

S_{ABC}= \frac{1}{2} \cdot \: AC\cdot CB(2)

поэтому из (1) и (2)

AC\cdot CB =h \sqrt{AC ^{2} + CB ^{2} } \\ h = \frac{AC\cdot CB }{\sqrt{AC ^{2} + CB ^{2} }}
h = \frac{3 \cdot 4}{ \sqrt{ {3}^{2} + {4}^{2} } } = \frac{12}{5} = 2.4

ответ: h=2,4
Впрямоугольном треугольнике известны катеты ac=3 и cb=4 найдите высоту
4,5(32 оценок)
Открыть все ответы
Ответ:
klochko2012p04hpi
klochko2012p04hpi
31.10.2020

О11111111111111111111111111111111111111111111111111111111111111111111111111111111111111111111111111111111111111111111111111111111111111111111111111111111111111111111111111111111111111111111111111111111111111111111111111111111111111111111111111111111111111111111111111111111111111111111111111111111111111111111111111111111111111111111111111111111111111111111111111111111111111111111111111111111111111111111111111111111111111111111111111111111111111111111111111111111111111111111111111111111111111111111111111111111111111111111111111111111111111111111111111111111111111111111111111111111111111111111111111111111111111111111111111111111111111111111111111111111111111111111111111111111111111111111111111111111111111111111111111111111111111111111111111111111111111111111111111111111111111111111111111111111111111111111111111 1111111111111111111111111111111111111111111111111111111111111111111111111111111111111111111111111111111111111111111111111111111111111111111111111111111111111111111111111111111111111111111111111111111111111111111111111111111111111111111111111111111111111111111111111111111111111111111111111111111111111111111111111111111111111111111111111111111111111111111111111111111111111111111111111111111111111111111111111111111111111111111111111111111111111111111111111111111111111111111111111111111111111111111111111111111111111111111111111111111111111111111111111111111111111111111111111111111111111111111111111111111111111111111111111111111111111111111111111111111111111111111111111111111111111111111111111111111111111111111111111111111111111111111111111111111111111111111111111111111111111111111111111111111111111111111111111111111111111111111111111111111111111111111111111111111111111111111111111111111111111111111111111111111111111111111111111111111111111111111111111111111111111111111111111111111111111111111111111111111111111111111111111111111111111111111111111111111111111111твет:

111111111111111111111111111111111111111111111111111111111111111111111111111111111111111111111111111111111111111111111111111111111111111111111111111111111111111111111111111111111111111111111111111111111111111111111111111111111111111111111111111111111111111111111111111111111111111111111111111111111111111111111111111111111111111111111111111111111111111111111111111111111111111111111111111111111111111111111111111111111111111111111111111111111111111111111111111111111111111111111111111111111111111111111111111111111111111111111111111111111111111111111111111111111111111111111111111111111111111111111111111111111111111111111111111111111111111111111111111111111111111111111111111111111111111111111111111111111111111111111111111111111111111111111111111111111111111111111111111111111111111111111111111111111111111111111111111111111111111111111111111111111111111111111111111111111111111111111111111111111111111111111111111111111111111111111111111111111111111111111111111111111111111111111111111111111111111111111111111111111111111111111111111111111111111111111111111111111111111111111111111111111111111111111111111111111111111111111111111111111111111111111111111111111111111111111111111111111111111111111111111111111111111111111111111111111111111111111111111111111111111111111111111111111111111111111111111111111111111111111111111111111111111111111111111111111111111111111111111111111111111111111111111111111111111111111111111111111111111111111111111111111111111111111111111111111111111111111111111111111111111111111111111111111111111111111111111111111111111111111111111111111111111111111111111111111111111111111111111111111111111111111111111111111111111111111111111111111111111111111111111111111111111111111111111111111111111111111111111111111111111111111111111111111111111111111111111111111111111111111111111111111111111111111111111111111111111111111111111111111111111111111111111111111111111111

Объяснение:

4,4(34 оценок)
Ответ:
valerango
valerango
31.10.2020

Начнем с профессии металлурга – очень трудной и очень почетной. Трудной потому, что приходится иметь дело с огромными объемами металла, огромных размеров оборудованием, которое работает в непрерывном режиме и пожирающее огромное количество энергии.

Металлург – это очень широкое понятие. Оно включает все профессии, связанные с обогащением руды и выплавкой чистого металла.

Сталевар на сталеплавильном или медеплавильном производстве или гальваник, ведущий электролиз расплавленной соли – металлурги.

Металлургу нужно досконально знать все тонкости процесса, иметь огромный опыт и зоркий глаз, чтобы уловить момент, когда сваренный металл приобретет оптимальный состав. Важно этот момент не упустить, иначе ценность плавки и сортность полученного металла снижаются, зря расходуются материальные ресурсы и усилия больших коллективов.

Плавка и разливка в формы металла – только начало пути к получению готового металлического изделия

4,4(73 оценок)
Это интересно:
Новые ответы от MOGZ: Геометрия
logo
Вход Регистрация
Что ты хочешь узнать?
Спроси Mozg
Открыть лучший ответ