М
Молодежь
К
Компьютеры-и-электроника
Д
Дом-и-сад
С
Стиль-и-уход-за-собой
П
Праздники-и-традиции
Т
Транспорт
П
Путешествия
С
Семейная-жизнь
Ф
Философия-и-религия
Б
Без категории
М
Мир-работы
Х
Хобби-и-рукоделие
И
Искусство-и-развлечения
В
Взаимоотношения
З
Здоровье
К
Кулинария-и-гостеприимство
Ф
Финансы-и-бизнес
П
Питомцы-и-животные
О
Образование
О
Образование-и-коммуникации
Dimon2005Dima
Dimon2005Dima
30.09.2022 00:49 •  Геометрия

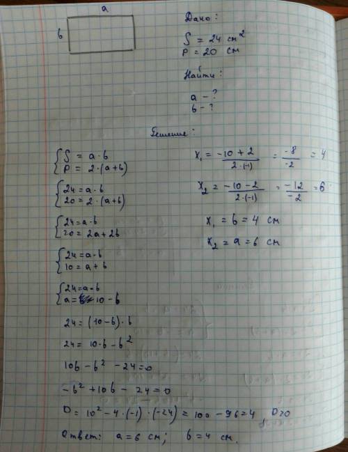
Периметр прямоугольника равен 20 см. найдите его стороны, если известно, что плошадь прямоугольника равна 24 см2

👇
Ответ:
NataliaKotic
NataliaKotic
30.09.2022
...........................
Периметр прямоугольника равен 20 см. найдите его стороны, если известно, что плошадь прямоугольника
4,7(95 оценок)
Ответ:
ekaterina305
ekaterina305
30.09.2022
Пусть одна сторона будет х см, а смежная с ним - у см. Периметр равен сумме 4-х сторон, но ведь прямоугольник - это параллелограмм, значит его противоположные стороны равны. Поэтому 2х + 2у= 20. или, сокращая всё на 2, получаем: х+у=10.
Площадь прямоугольника - это произведение его смежных сторон, то есть х×у=24
составим систему:
х×у=24
х+у=10
выразим одно из другого:
х+у=10
х=10-у
Подставляем значение х в первое уравнение:
(10-у)×у=24
-у^2 +10у - 24=0
Разделим каждое число на -1:
у^2-10у+24=0
D= 100-4×24=4
у1= (10-2)/2=4
у2= (10+2)/2=6
Подставляя в х×у=24 значения у1,2 видим, что при у1, х1=6, а при подстановке у2, х2= 4
ответ: Стороны равны 6 см и 4 см.
4,6(29 оценок)
Открыть все ответы
Ответ:
А00000а
А00000а
30.09.2022
1. Треугольники DOC и АОВ подобны по первому признаку подобия треугольников: два угла одного треугольника соответственно равны двум углам другого. В нашем случае углы DOC и АОВ равны как вертикальные углы, а углы DCA и САВ равны как накрест лежащие углы при пересечении параллельных прямых DC и АВ секущей АС.
2. Выразим ОС как 15-АО
3. Поскольку треугольники подобны, можно записать:
АО / ОС = АВ / DC, 
АО = ОС*АВ / DC
AO = (15-AO)*AB / DC
AO = (15-AO)*96 / 24
24AO = (15-AO)*96
24AO = 1440 - 96AO
120AO = 1440
AO = 12 см
4,6(91 оценок)
Ответ:
belat1
belat1
30.09.2022

Сам монумент, расстояние от точки А до основания монумента и расстояние от точки А до самой высокой точки образуют прямоугольный треугольник.

Высота монумента является катетом, расстояние от основания до точки А вторым катетом, а расстояние от точки А до вершины монумента гипотенузой.

Для того чтобы найти расстояние от точки А до вершины, нужно выстоу монумента разделить на sin60° и получим:

105/0,87=120,7м

Для нахождения расстояния от основания монумета до точки А, нужно расстояние от точки А до самой высокой точки умножить на cos60°: 120,7*0,5=60,35м

4,7(2 оценок)
Новые ответы от MOGZ: Геометрия
logo
Вход Регистрация
Что ты хочешь узнать?
Спроси Mozg
Открыть лучший ответ