М
Молодежь
К
Компьютеры-и-электроника
Д
Дом-и-сад
С
Стиль-и-уход-за-собой
П
Праздники-и-традиции
Т
Транспорт
П
Путешествия
С
Семейная-жизнь
Ф
Философия-и-религия
Б
Без категории
М
Мир-работы
Х
Хобби-и-рукоделие
И
Искусство-и-развлечения
В
Взаимоотношения
З
Здоровье
К
Кулинария-и-гостеприимство
Ф
Финансы-и-бизнес
П
Питомцы-и-животные
О
Образование
О
Образование-и-коммуникации
godday
godday
20.07.2020 08:37 •  Геометрия

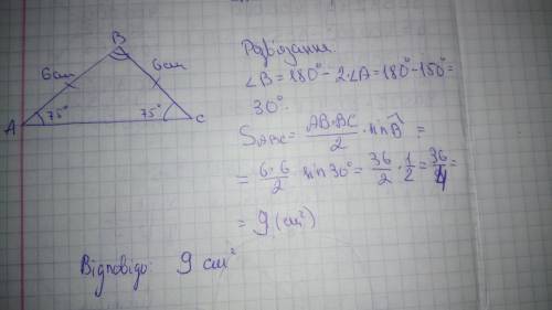
Знайдіть площу рівнобедреного трикутника з бічною строною 6 см і кутом при основі 75​

👇
Ответ:
кек786564434
кек786564434
20.07.2020

9. Розв'язання завдання додаю


Знайдіть площу рівнобедреного трикутника з бічною строною 6 см і кутом при основі 75​
4,7(82 оценок)
Открыть все ответы
Ответ:
vasilisasimakin
vasilisasimakin
20.07.2020

Объяснение:

3. 1) Касательная к окружности перпендикулярна к радиусу, проведенному в точку касания,

    значит ∠ ОКМ=90°-7°=83° .

    2) ∆ ОКМ- равнобедренный (ОК=КМ=r) , значит ∠ОКМ=∠ОМK=83°.

4. 1) Касательная к окружности перпендикулярна к радиусу, проведенному в точку касания,

    значит ∠ ОКМ=90°-84°=6°

   2) ∆ ОКМ- равнобедренный (ОК=КМ=r) , значит ∠ОКМ=∠ОМK=6°.

5. ∠ ABC =90°(вписанный), т.к ∪ АС=180° (опирается на диаметр АС).  Тогда ∠С=180°-90°-75°=25°

6. 1) ∪ AN=73°·2=146° (стягивает вписанный  ∠ NBA). Тогда

      ∪ NB =∪ AB-∪AN=180°-146°=34°.

  2) ∠NMB=34°/2=17° (вписанный не центральный угол)

7. 1) ∆ АОВ- равнобедренный(АО=ОВ=r), значит ∠ОАВ=∠АВО=15°. Тогда             ∠ОВС =56°-15°=41°.

   2) ∆ ВОС-  равнобедренный(ВО=ОС=r), значит ∠ОВС=∠ВСО=41°.

8.  ∆ АОВ =∆ СОD (AO=OD=r, CO=OB=r, ∠AОВ =∠CОD-вертикальные ), значит  ∠ОАВ =∠ОСD=25°

...

4,5(70 оценок)
Ответ:
artisx
artisx
20.07.2020

Сделаем рисунок и обозначим вершины трапеции АВСD.
Пусть основаниями будут ВС и АD.
По условию задачи ∠А+∠С=90º
Т.к. в треугольнике АВD ∠АВD+∠ВАD=90º, то ∠АВD= ∠ВСD
Если в прямоугольных треугольниках равны один из острых углов, то такие треугольники подобны.
Меньшая диагональ ВD является высотой трапеции - она перпендикулярна основаниям по условию.
Из подобия ᐃ АВD и ᐃ ВСD
АD:ВD=ВD:ВС
18:ВD=ВD:2
ВD²=36
ВD=6
Площадь трапеции равна половине произведения её высоты на сумму оснований.
S=6(2+18):2=60 ( квадратных единиц измерения)

4,8(57 оценок)
Это интересно:
Новые ответы от MOGZ: Геометрия
logo
Вход Регистрация
Что ты хочешь узнать?
Спроси Mozg
Открыть лучший ответ