М
Молодежь
К
Компьютеры-и-электроника
Д
Дом-и-сад
С
Стиль-и-уход-за-собой
П
Праздники-и-традиции
Т
Транспорт
П
Путешествия
С
Семейная-жизнь
Ф
Философия-и-религия
Б
Без категории
М
Мир-работы
Х
Хобби-и-рукоделие
И
Искусство-и-развлечения
В
Взаимоотношения
З
Здоровье
К
Кулинария-и-гостеприимство
Ф
Финансы-и-бизнес
П
Питомцы-и-животные
О
Образование
О
Образование-и-коммуникации
Ksu576
Ksu576
26.10.2022 15:13 •  Геометрия

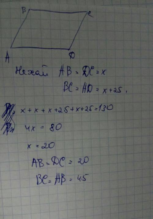
Перитметр паралелограма дорівнює 130 см. одна із його сторін більша від другої на 25 см. знайдіть сторони паралелограма.

👇
Ответ:
Sevchi
Sevchi
26.10.2022


Перитметр паралелограма дорівнює 130 см. одна із його сторін більша від другої на 25 см. знайдіть ст
4,8(96 оценок)
Открыть все ответы
Ответ:

Площадь части круга, расположенной вне ромба, состоит из площади двух сегментов ТkC и  DmC (см. рисунок в приложении).

ОС - диаметр, ТО=МО - высоты ромба, прямоугольные ∆ ОТС =∆ ОМС по катету и гипотенузе. ⇒ хорды ТС=МС⇒

 сегменты ТkC и DmС равны.   

В прямоугольном ∆ ОТВ тангенс угла ОВТ=ОТ:ВТ=3:√3=√3. Это тангенс 60° ⇒ 

в прямоугольном ∆ ВОС угол ВОС=30°

Диаметр ОС=ОТ:sin30°=6 см, радиус РС=РТ=3 см. 

∆ ТРС равнобедренный, ∠ТРС=180°-2•30°=120°

Площадь сегмента ТkC равна разности между площадью сектора РТkC и площадью ∆ ТРС

Площадь сектора ТРС равна 1/3 площади круга=πr²:3=9π:3=3π, т.к. угол ТРС=1/3 градусной величины круга. 

S ∆ТРС по формуле S=a•b•sina:2=9√3/4 

S сегмента ТkC=3π - 9√3/4 

Площадь 2-х таких сегментов 6π -9√3/2 см²

4,7(20 оценок)
Ответ:
evilziro
evilziro
26.10.2022

ответ:60°

Объяснение:

 А1В и АС лежат в разных плоскостях и не имеют общих точек. Они – скрещивающиеся.

 Чтобы найти угол между скрещивающимися прямыми, нужно:  Провести прямую, параллельную одной из двух скрещивающихся прямых так, чтобы она пересекала вторую прямую. При этом получатся пересекающиеся прямые. Угол между ними равен углу  между исходными скрещивающимися.

 СD1 ║ BA1  и пересекает АС в т.С. Если провести диагональ АD1 в грани АА1D1D, получим треугольник АD1С, все стороны которого равны между собой ( т.к. диагонали равных квадратов равны). Следовательно. углы ∆ АСD1 равны, их градусная мера 180°:3=60°.

Градусная мера угла между  прямыми ВА1 и АС равна 60°.


Вкубе abcda1b1c1d1 найдите угол между прямыми ba1 и ac. ответ дайте в градусах.
4,6(10 оценок)
Это интересно:
Новые ответы от MOGZ: Геометрия
logo
Вход Регистрация
Что ты хочешь узнать?
Спроси Mozg
Открыть лучший ответ