М
Молодежь
К
Компьютеры-и-электроника
Д
Дом-и-сад
С
Стиль-и-уход-за-собой
П
Праздники-и-традиции
Т
Транспорт
П
Путешествия
С
Семейная-жизнь
Ф
Философия-и-религия
Б
Без категории
М
Мир-работы
Х
Хобби-и-рукоделие
И
Искусство-и-развлечения
В
Взаимоотношения
З
Здоровье
К
Кулинария-и-гостеприимство
Ф
Финансы-и-бизнес
П
Питомцы-и-животные
О
Образование
О
Образование-и-коммуникации
menoralle
menoralle
24.07.2020 02:45 •  Химия

Есть те кто шарят в ? этот листочек решит мою четвертную оценку! надо сделать его идеально чтобы получить хотя бы троечку в четверти..не хочу портить аттестат, !

👇
Ответ:

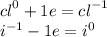
1.a

{cl}^{0} + 1e = {cl}^{ - 1} \\ {i}^{ - 1} - 1e = {i}^{0}

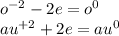
б

{o}^{ - 2} - 2e = {o}^{0} \\ {au}^{ + 2} + 2e = {au}^{0}


Есть те кто шарят в ? этот листочек решит мою четвертную оценку! надо сделать его идеально чтобы пол
4,6(82 оценок)
Открыть все ответы
Ответ:
infourazyukp092y0
infourazyukp092y0
24.07.2020
Кисло́ты — химические соединения отдавать катион водорода либо соединения принимать электронную пару с образованием ковалентной связи.В быту и технике под кислотами обычно подразумеваются кислоты Брёнстеда, образующие в водных растворах избыток ионов гидроксония  H3O+. Присутствие этих ионов обуславливает кислый вкус растворов кислот менять окраску индикаторов и, в высоких концентрациях, раздражающее действие кислот. Подвижные атомы водорода кислот замещаться на атомы металлов с образованием солей, содержащих катионы металлов и анионы кислотного остатка.
4,6(51 оценок)
Ответ:
Tsoller04
Tsoller04
24.07.2020
ТРЕБОВАНИЯ БЕЗОПАСНОСТИ ВО ВРЕМЯ РАБОТЫ

Во время работы в кабинете химии учащиеся должны быть максимально внимательными, дисциплинированными, строго следовать указаниям учителя, соблюдать тишину, поддерживать чистоту и порядок на рабочем месте.Во время демонстрационных опытов учащиеся должны находиться на своих рабочих местах или пересесть по указанию учителя на другое, более безопасное место.При выполнении лабораторных и практических работ учащиеся должны неукоснительно соблюдать правила техники, безопасности, следить, чтобы вещества не попадали на кожу лица и рук, так как многие из них вызывают раздражение кожи и слизистых оболочек.Никакие вещества в лаборатории нельзя пробовать на вкус!Нюхать вещества можно, лишь осторожно направляя на себя их пары или газы лёгким движением руки, а не наклоняясь к сосуду и не вдыхая полной грудью.При выполнении лабораторных работ учащиеся должны точно повторять действия учителя, показывающего, как нужно правильно проводить эксперимент.Подготовленный к работе прибор учащиеся должны показать учителю или лаборанту.По первому требованию учителя учащиеся обязаны немедленно прекратить выполнение работы (эксперимента). Возобновление работы возможно только с разрешения учителя.Учащимся запрещается самостоятельно проводить любые опыты, не предусмотренные в данной работе.Учащимся запрещается выливать в канализацию растворы и органические жидкости.Обо всех разлитых и рассыпанных реактивах учащиеся должны немедленно сообщить учителю или лаборанту. Учащимся запрещается самостоятельно убирать любые вещества.Обо всех неполадках в работе оборудования, водопровода, электросети и т.п. учащиеся обязаны сообщить учителю или лаборанту. Учащимся запрещается самостоятельно устранять неисправности.При получении травм (порезы, ожоги и т.п.), а также при плохом самочувствии учащиеся должны немедленно сообщить об этом учителю или лаборанту.Во время работы учащимся запрещается переходить на другое рабочее место без разрешения учителя.Учащимся запрещается брать вещества и какое-либо оборудование с незадействованных на данный момент рабочих мест.Недопустимо во время работы перебрасывать друг другу какие-либо вещи (учебники, тетради, ручки и др.).Запрещается оставлять без присмотра включенные нагревательные приборы, а также зажигать горелки и спиртовки без надобности.
4,4(45 оценок)
Новые ответы от MOGZ: Химия
logo
Вход Регистрация
Что ты хочешь узнать?
Спроси Mozg
Открыть лучший ответ