М
Молодежь
К
Компьютеры-и-электроника
Д
Дом-и-сад
С
Стиль-и-уход-за-собой
П
Праздники-и-традиции
Т
Транспорт
П
Путешествия
С
Семейная-жизнь
Ф
Философия-и-религия
Б
Без категории
М
Мир-работы
Х
Хобби-и-рукоделие
И
Искусство-и-развлечения
В
Взаимоотношения
З
Здоровье
К
Кулинария-и-гостеприимство
Ф
Финансы-и-бизнес
П
Питомцы-и-животные
О
Образование
О
Образование-и-коммуникации
bocmanlera
bocmanlera
07.01.2022 23:58 •  Химия

Визначте w хемічих елеменів в речовіни na3po4

👇
Ответ:
guzelmuzepova
guzelmuzepova
07.01.2022

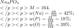
Na_{3}PO_{4} \\ M=164. \\ w(Na)= \frac{69}{164} = 42\% ; \\ w(P)= \frac{31}{164} = 18\%; \\ w(O)= \frac{64}{164} = 39\% .

4,5(85 оценок)
Открыть все ответы
Ответ:
solomiaoleksin
solomiaoleksin
07.01.2022
При повышении давления химическое равновесие смещается в сторону меньших объемов
при понижении в сторону больших

при повышении температуры хим равновесие смещается в сторону эндотермической реакции -Q эндотермическая
при понижении температуры смещается в сторону экзотермической +Q

при повышении концентрации исходных веществ равновесие смещается в сторону продуктов реакции
при понижении в сторону исходных

при повышении концентрации ПРОДУКТОВ реакции хим равновесие смещается в сторону исходных веществ
при понижении в сторону продуктов реакции
4,6(96 оценок)
Ответ:
Мухамед5Ли
Мухамед5Ли
07.01.2022
Принцип Ле-Шателье: если на равновесную систему подействовать каким-либо образом, равновесие сместится в сторону понижения этого действия.

Если увеличить температуру реакции, то равновесие сместится в стррону эндотермической реакции и наоборот, если уменьшить температуру реакции, то равновесие сместится в сторону экзотермической реакции.

Если увеличить давление на систему, то равновесие сместится в сторону уменьшения объема системы (в сторону уменьшения числа моль газообразных продуктов) и наоборот, если уменьшить давление на систему, то равновесие сместится в сторону увеличения объема системы (в сторону увеличения числа моль газообразных продуктов).

Если увеличить концентрацию одного из веществ в системе, то равновесие сместится в сторону расхода этого вещества и наоборот, если уменьшить концентрацию одного из веществ в системе, то равновесие сместится в сторону образования этого вещества.
4,6(66 оценок)
Новые ответы от MOGZ: Химия
logo
Вход Регистрация
Что ты хочешь узнать?
Спроси Mozg
Открыть лучший ответ