М
Молодежь
К
Компьютеры-и-электроника
Д
Дом-и-сад
С
Стиль-и-уход-за-собой
П
Праздники-и-традиции
Т
Транспорт
П
Путешествия
С
Семейная-жизнь
Ф
Философия-и-религия
Б
Без категории
М
Мир-работы
Х
Хобби-и-рукоделие
И
Искусство-и-развлечения
В
Взаимоотношения
З
Здоровье
К
Кулинария-и-гостеприимство
Ф
Финансы-и-бизнес
П
Питомцы-и-животные
О
Образование
О
Образование-и-коммуникации
7777kiti
7777kiti
20.04.2023 10:54 •  Химия

10 класс.
без объяснения только ответ.

👇
Ответ:
Falzy
Falzy
20.04.2023

а)

CaCO_3+2HCl=CaCl_2+CO_2\uparrow+H_2O\\Ca^{2+}+CO_3^{2-}+2H^++2Cl^-=Ca^{2+}+2Cl^-+CO_2\uparrow+H_2O\\2H^++CO_3^{2-}=H_2O+CO_2\uparrow\\

б)

Fe_2O_3+3H_2SO_4=Fe_2(SO_4)_3+3H_2O\\Fe_2O_3+6H^++3SO_4^{2-}=2Fe^{3+}+3SO_4^{2-}+3H_2O\\Fe_2O_3+6H^+=2Fe^{3+}+3H_2O

в)

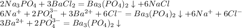
2Na_3PO_4+3BaCl_2=Ba_3(PO_4)_2\downarrow+6NaCl\\6Na^++2PO_4^{3-}+3Ba^{2+}+6Cl^-=Ba_3(PO_4)_2\downarrow+6Na^++6Cl^-\\3Ba^{2+}+2PO_4^{3-}=Ba_3(PO_4)_2\downarrow

4,7(7 оценок)
Открыть все ответы
Ответ:
Kotik210
Kotik210
20.04.2023
Причина,  что атомные массы химических элементов являются дробными числами в том, что в природе химические элементы имеют себе подобных. 
Называются они ИЗОТОПЫ.

Изотоп - это атом одного и того же химического элемента, ядро которого имеет одинаковый заряд (одинаковое  число протонов), но разное количество нейтронов. 
Например, 
Водород, атомная масса которого в ПСХЭ Ar(H)=1,00797. Водород имеет три изотопа:
₁H¹ протий,  ₁H² дейтерий,  ₁H³ тритий
В ПСХЭ записана среднее число, которое получилось от количества этих изотопов в природе.

Кислород, атомная масса которого в ПСХЭ Ar(H)=16,9994.Кислород имеет 3 стабильных изотопа и 10 нестабильных.
₁₆O¹⁶  ₁₆O¹⁷  ₁₆O¹⁸ 
 из них ₁₆O¹⁶ является наиболее распространенным (99,762 %) изотопом кислорода.

Углерод атомная масса которого в ПСХЭ Ar(H)=12,01115
 имеет 2 стабильных изотопа:
₁₂C¹²  ₁₂C¹³   (содержание этих изотопов в природном углероде равно соответственно 98,93 % и 1,07 %).
Известны также 13 радиоактивных изотопов углерода (от ₁₂C⁸ до ₁₂C²²), из которых один — ₁₂C¹⁴   
4,6(7 оценок)
Ответ:
1) Опр. массу щелочи в растворе
15% раствор означает, что:
             в 100 г р-ра содержится 15 г щелочи
         а в 180 г р-ра Х г щелочи   
                  Х = 180*15/100 = 27 г 
2) Опр. молярные массы интересующих нас веществ:
         М (КОН) = 39 + 16 +1 = 56 г/моль
         M (Cu(OH)2) = 63,5 + 2*16 + 2*1 = 97,5 г/моль
3) Ур-ие реакции:
         2КОН + Cu(NO3)2 = 2KNO3 + Cu(OH)2 
4) На основании ур-я реакции составляем пропорцию:
          2*56 г КОН образуют 97,5 г осадка Cu(OH)2
           27 г КОН Х г осадка
              Х = (27*97,5)/(2*56) = 23,5 г
ответ: 23,5 г осадка
4,4(53 оценок)
Это интересно:
Новые ответы от MOGZ: Химия
logo
Вход Регистрация
Что ты хочешь узнать?
Спроси Mozg
Открыть лучший ответ